Simplify your online presence. Elevate your brand.

Welding Calculator Pdf Metals Mechanical Engineering

Welding Calculator Pdf Welding Construction
Welding Calculator Pdf Welding Construction

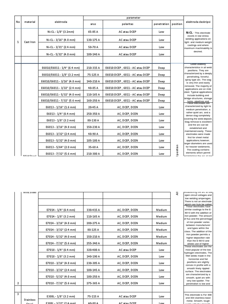
Welding Calculator Pdf Welding Construction Welding calculator free download as excel spreadsheet (.xls .xlsx), pdf file (.pdf), text file (.txt) or read online for free. this document provides welding guidelines for different materials including aluminum, stainless steel, and steel using various welding processes and wire gas combinations. Weldpulse helps in performing detailed welding cost calculations based upon the provided variables. the calculations can be saved, and retrieved as and when required.

Welding Calculations Return To Main Menu Basics Pdf Stress
Welding Calculations Return To Main Menu Basics Pdf Stress

Welding Calculations Return To Main Menu Basics Pdf Stress I will solve some engineering mathematical problems to be as approach to calculate the perfect thickness and length of a welded joint for perfect engineering design. Quality control of welded connections is particularly difficult, because defects below the surface, or even minor flaws at the surface, will escape visual detection. Under the proper conditions, all steels can be welded, but best results will be obtained if steels having a uns specification between g10140 and g10230 are chosen. •arrow side of a joint is the line, side, area, or near member to which the arrow points •the side opposite the arrow side is the other side •shape of weld is shown with the symbols below.

Welding Calculator Pdf Welding Construction
Welding Calculator Pdf Welding Construction

Welding Calculator Pdf Welding Construction These diagrams were developed using the calculations obtained by the following equation for both groove and fillet welding joints under the prerequisites given below. The study focuses on mathematical modeling for spot welding parameters in automotive steel sheets. key equations involve energy, power, and welding current with specific resistance values for various steel types. minimum nugget diameter requirement is 4 mm for general and 5 mm for critical points. Weld weight and area spreadsheet calculator calculations for double v, single v, compound v, backing strip and j groove weld weight and area. the calculation for reinforcement of welded branch connections has been carried out based on asme b31.3 paragraph 304.3.3. Calculate welding times, costs, and joint strength for various welding processes including mig, tig, and stick welding. essential for welding engineers, fabrication shops, and metalworking professionals.

Welding Calculator Parameters Costs For Steel Aluminum Alloys
Welding Calculator Parameters Costs For Steel Aluminum Alloys

Welding Calculator Parameters Costs For Steel Aluminum Alloys Weld weight and area spreadsheet calculator calculations for double v, single v, compound v, backing strip and j groove weld weight and area. the calculation for reinforcement of welded branch connections has been carried out based on asme b31.3 paragraph 304.3.3. Calculate welding times, costs, and joint strength for various welding processes including mig, tig, and stick welding. essential for welding engineers, fabrication shops, and metalworking professionals.

Comments are closed.