Simplify your online presence. Elevate your brand.

Visa Checklist En Pdf

Visa Checklist En Pdf
Visa Checklist En Pdf

Visa Checklist En Pdf Complete schengen visa document checklist for 2026. printable list of every required document — for employed, self employed, students, and retired applicants. The required documents have to be submitted with the visa application (no fax or e mail to embassy accepted) only the documents mentioned on the checklist are accepted the embassy of switzerland reserves the right to ask for additional documents and or for a personal interview.

Checklist Business Visa Pdf Travel Visa Passport
Checklist Business Visa Pdf Travel Visa Passport

Checklist Business Visa Pdf Travel Visa Passport This pdf checklist lists the standard requirements for the type c short stay schengen visa. it also lists the typical requirements based on your purpose of travel. > if you are applying for a schengen visa for a minor who will be travelling alone or with only (only 1 parent) 1 parent, please submit the following documents:. List of documents to be presented by visa applicants from indonesia according to the commission implementing decision of 27 05 2020 by the european commission, in conformity with the list of supporting documents. Complete the checklist how to use and submit this checklist when you put together your application package, place your documents and forms in the order shown on the checklist. when you start applying, a personalized document checklist will be created. you do not need to submit this pdf checklist. it is only used to help you complete your.

Visa For Tourism Checklist New Pdf Travel Visa Passport
Visa For Tourism Checklist New Pdf Travel Visa Passport

Visa For Tourism Checklist New Pdf Travel Visa Passport List of documents to be presented by visa applicants from indonesia according to the commission implementing decision of 27 05 2020 by the european commission, in conformity with the list of supporting documents. Complete the checklist how to use and submit this checklist when you put together your application package, place your documents and forms in the order shown on the checklist. when you start applying, a personalized document checklist will be created. you do not need to submit this pdf checklist. it is only used to help you complete your. Completely filled out and signed schengen visa application form. please use the videx website to fill out the application online. please ensure to print and submit all pages of the application form including the barcodes. All the requrements are listed below. should you still like to download the checklist, you may do so. required documents (if not otherwise noted, submittal of copies of the original document are…. 1.1 a completed and signed schengen visa application form. 2.1 a passport or other travel document. your passport or travel document must be valid for at least 3 months from the date on which you leave the schengen area. your passport or travel document must have at least 2 empty visa pages. This document provides a checklist of documents required for a schengen visa application for tourism or visiting family friends.

Checklist Singapore Visa Application Oct 2021 Pdf Travel Visa
Checklist Singapore Visa Application Oct 2021 Pdf Travel Visa

Checklist Singapore Visa Application Oct 2021 Pdf Travel Visa Completely filled out and signed schengen visa application form. please use the videx website to fill out the application online. please ensure to print and submit all pages of the application form including the barcodes. All the requrements are listed below. should you still like to download the checklist, you may do so. required documents (if not otherwise noted, submittal of copies of the original document are…. 1.1 a completed and signed schengen visa application form. 2.1 a passport or other travel document. your passport or travel document must be valid for at least 3 months from the date on which you leave the schengen area. your passport or travel document must have at least 2 empty visa pages. This document provides a checklist of documents required for a schengen visa application for tourism or visiting family friends.

Uk Visa Checklist Pdf
Uk Visa Checklist Pdf

Uk Visa Checklist Pdf 1.1 a completed and signed schengen visa application form. 2.1 a passport or other travel document. your passport or travel document must be valid for at least 3 months from the date on which you leave the schengen area. your passport or travel document must have at least 2 empty visa pages. This document provides a checklist of documents required for a schengen visa application for tourism or visiting family friends.

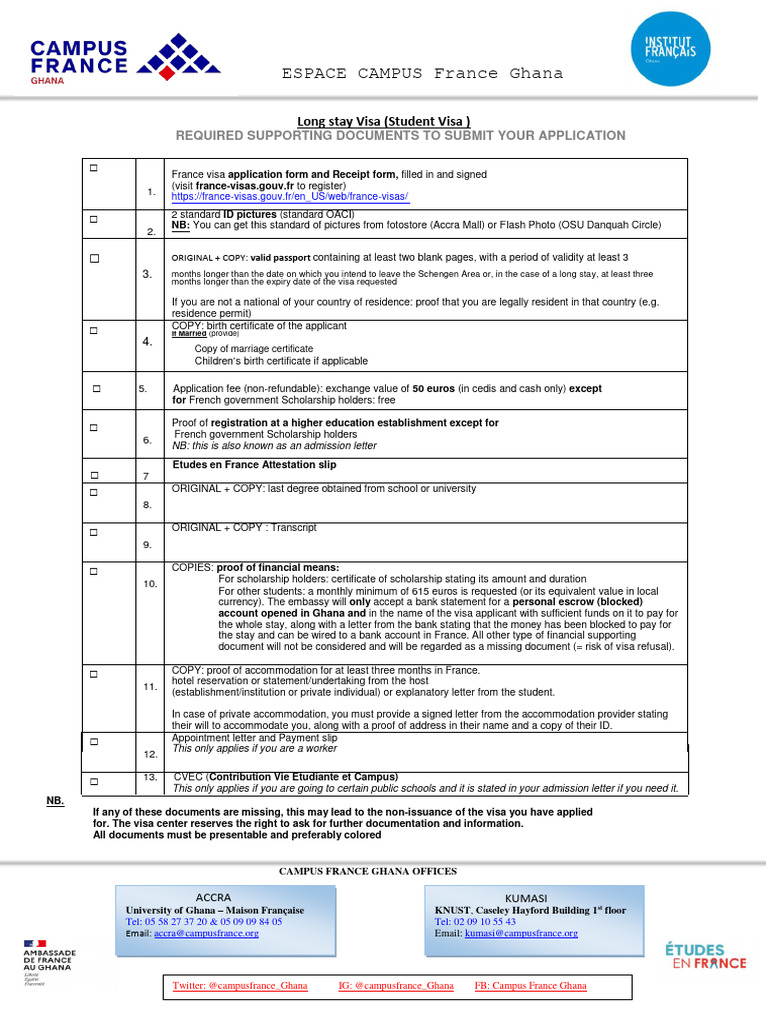
Official Student Visa Checklist En Pdf Travel Visa Birth Certificate
Official Student Visa Checklist En Pdf Travel Visa Birth Certificate

Official Student Visa Checklist En Pdf Travel Visa Birth Certificate

Comments are closed.