Simplify your online presence. Elevate your brand.

Vdot Training Paces Pdf

Vdot Training Paces Pdf
Vdot Training Paces Pdf

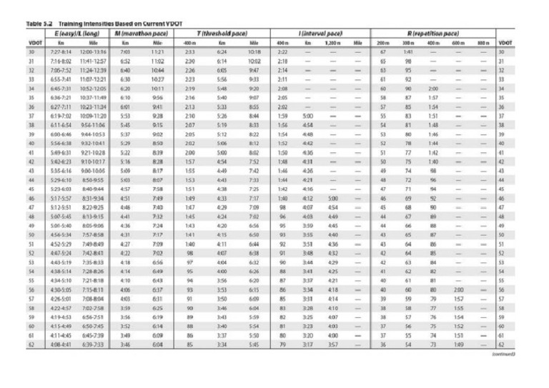
Vdot Training Paces Pdf This comprehensive guide provides the complete vdot reference tables developed by legendary running coach dr. jack daniels, along with training paces and race equivalents for every fitness level. This document contains a table with estimated paces for different training types (easy long, marathon, threshold, interval, repetition) and distances (mile, 1600m, 1200m, 1000m, 800m, 400m).

Vdot Training Tabel Pdf Heart Rate
Vdot Training Tabel Pdf Heart Rate

Vdot Training Tabel Pdf Heart Rate Enter a recent or estimated race result to get your vdot score and current training paces. each training pace is designed to help you improve your fitness. learn more about the purpose and how to train at each pace. Instructions: "race pace" find should the be highest calculated vdot using value a that season corresponds best or near to aterm season race best goal. (or during estimate xc prs fitness must level). be adjusted if you are for halfway courses between and conditions; two vdots thus choose vdot for the track higher workouts value. This table has been developed by the world class running coach jack daniels and is widely used in determining appropriate training intensities based on recent race performances. The purpose of the current study was to determine the accuracy of jack daniels' vdot running calculator for the prediction of v [combining dot above]o2max, and recommendations of interval and.

Vdotchart Jpg
Vdotchart Jpg

Vdotchart Jpg This table has been developed by the world class running coach jack daniels and is widely used in determining appropriate training intensities based on recent race performances. The purpose of the current study was to determine the accuracy of jack daniels' vdot running calculator for the prediction of v [combining dot above]o2max, and recommendations of interval and. Grab your free jack daniels vdot chart pdf! find your perfect training pace and crush your running goals. download now and start improving today!. Convert any race time (5k to marathon) into vdot based training paces for easy runs, tempo, threshold, and intervals. If you are reading this just to find your vdot training paces (easy, marathon, tempo, interval, or repetition), simply scroll down to the tables. if you want to learn what those terms mean and how to use them effectively for your training, read on!. Calculate your vdot and optimal training paces using the jack daniels running calculator. unlock your ideal running zones based on performance.

Making Vdot Training Paces More Clear V O2 Support
Making Vdot Training Paces More Clear V O2 Support

Making Vdot Training Paces More Clear V O2 Support Grab your free jack daniels vdot chart pdf! find your perfect training pace and crush your running goals. download now and start improving today!. Convert any race time (5k to marathon) into vdot based training paces for easy runs, tempo, threshold, and intervals. If you are reading this just to find your vdot training paces (easy, marathon, tempo, interval, or repetition), simply scroll down to the tables. if you want to learn what those terms mean and how to use them effectively for your training, read on!. Calculate your vdot and optimal training paces using the jack daniels running calculator. unlock your ideal running zones based on performance.

Vdot Training Paces Pdf
Vdot Training Paces Pdf

Vdot Training Paces Pdf If you are reading this just to find your vdot training paces (easy, marathon, tempo, interval, or repetition), simply scroll down to the tables. if you want to learn what those terms mean and how to use them effectively for your training, read on!. Calculate your vdot and optimal training paces using the jack daniels running calculator. unlock your ideal running zones based on performance.

Comments are closed.