Simplify your online presence. Elevate your brand.

Unv 103 Topic 1 Wrap Up

Unv 103 T1 Resourcesworksheet Online Pdf Microsoft Word Paragraph
Unv 103 T1 Resourcesworksheet Online Pdf Microsoft Word Paragraph

Unv 103 T1 Resourcesworksheet Online Pdf Microsoft Word Paragraph Enjoy the videos and music you love, upload original content, and share it all with friends, family, and the world on . Each topic does into further detail to lists the dates that each topic will have assignments due, the objectives of which will be covered within the topic, assessments due within each topic, and resources of which that relate to the topic.

Unv 101 Topic 2 Discussion 1 Question Topic 2 Disscussion Unv Spring
Unv 101 Topic 2 Discussion 1 Question Topic 2 Disscussion Unv Spring

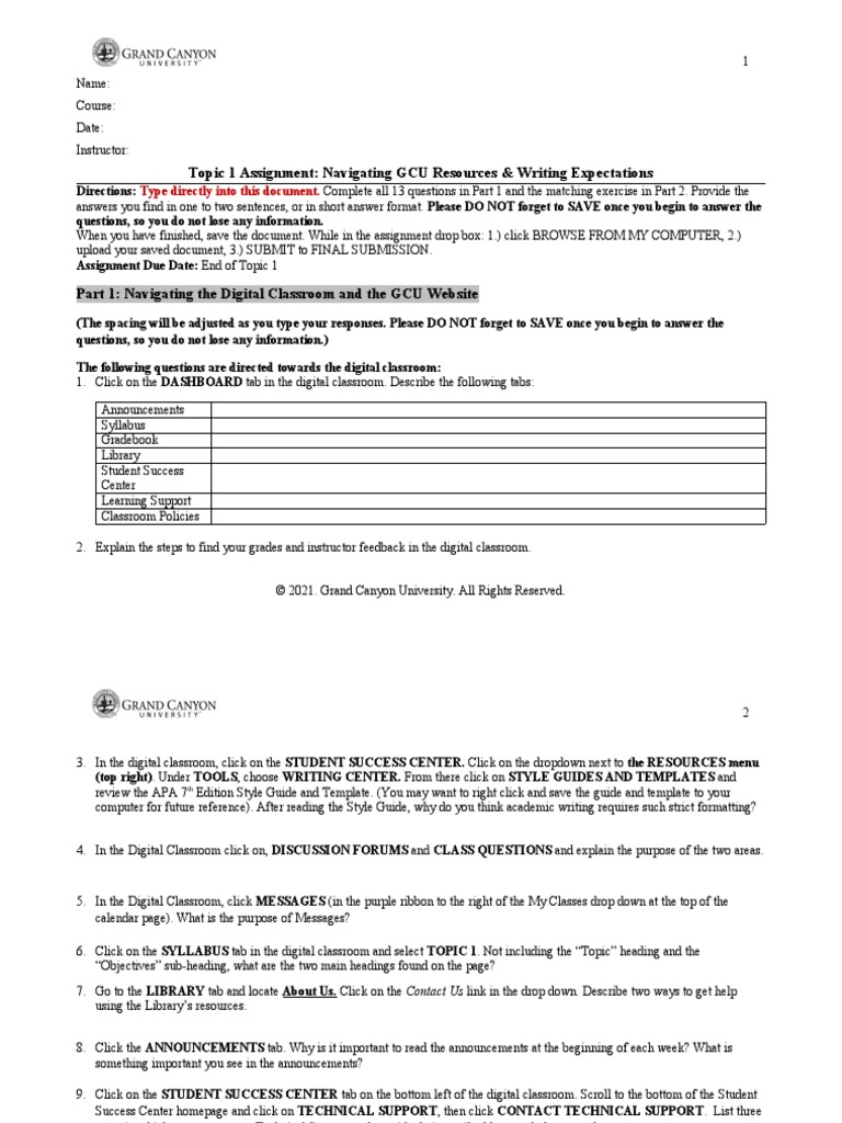
Unv 101 Topic 2 Discussion 1 Question Topic 2 Disscussion Unv Spring Access study documents, get answers to your study questions, and connect with real tutors for unv 103 : university success at grand canyon university. L all four sides of each page in your document must default to 1.0” for the top, bottom, left, and right sides. separates creative writing from formal academic writing including apa style, mla, and turabian format and citation styles. Complete all 13 questions in part 1 and the matching exercise in part 2. provide the answers you find in one to two sentences, or in short answer format.please do not forget to save once you begin to answer the questions, so you do not lose any information. Unv 103| gcu resources and writing expectations worksheet topic 1 assignment| with complete solution | new 2026 rating sold.

Unv 103 Rs T7 Reflection Name Briana Robinson Course Unv 103 Date
Unv 103 Rs T7 Reflection Name Briana Robinson Course Unv 103 Date

Unv 103 Rs T7 Reflection Name Briana Robinson Course Unv 103 Date Complete all 13 questions in part 1 and the matching exercise in part 2. provide the answers you find in one to two sentences, or in short answer format.please do not forget to save once you begin to answer the questions, so you do not lose any information. Unv 103| gcu resources and writing expectations worksheet topic 1 assignment| with complete solution | new 2026 rating sold. After reading chapter 1 in your ebook as well as other readings in topic 1, discuss what sparked your interest most. please provide specific examples from the readings. The two main headings found under the syllabus tab in topic 1, excluding the "topic" heading and the "objectives" sub heading, are "assessment" and "resources.". All four sides of each page in your document must default to 1.0” for the top, bottom, left, and right sides. separates creative writing from formal academic writing including apa style, mla, and turabian format and citation styles. Assignment due date: end of topic 1 part 1: navigating the digital class room and the gcu website.

Comments are closed.