Simplify your online presence. Elevate your brand.

Unit V Multiple Integrals Problem 1 Write Down The Double Integral

Multiple Integral Unit V Pdf
Multiple Integral Unit V Pdf

Multiple Integral Unit V Pdf This document contains 9 problems demonstrating the evaluation of multiple integrals. the problems cover a range of techniques for setting up and solving double integrals to find areas between curves, evaluate functions over specified regions, and change the order of integration. This document covers the concept of double integrals, including definitions, examples, and practice questions. it explains the order of integration, limits of integration, and applications in calculating areas and volumes using double integrals in various coordinate systems.

Double Integral 3 Pdf
Double Integral 3 Pdf

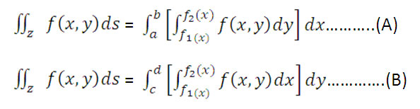
Double Integral 3 Pdf In this section we will formally define the double integral as well as giving a quick interpretation of the double integral. First, a double integral is defined as the limit of sums. second, we find a fast way to com pute it. the key idea is to replace a double integral by two ordinary “single” integrals. This process of going through two iterations of integrals is called double integration, and the last expression in equation 3.1.1 is called a double integral. notice that integrating f (x, y) with respect to y is the inverse operation of taking the partial derivative of f (x, y) with respect to y. Examples on how to calculate double integrals are presented along with detailed solutions. more questions with answers are also included.

Dr M Suresh Mathematics Faculty Pdf
Dr M Suresh Mathematics Faculty Pdf

Dr M Suresh Mathematics Faculty Pdf This process of going through two iterations of integrals is called double integration, and the last expression in equation 3.1.1 is called a double integral. notice that integrating f (x, y) with respect to y is the inverse operation of taking the partial derivative of f (x, y) with respect to y. Examples on how to calculate double integrals are presented along with detailed solutions. more questions with answers are also included. Master double integrals with step by step examples and practice problems. learn to calculate and apply them effectively. Double integrals are a way to integrate over a two dimensional area. among other things, they lets us compute the volume under a surface. Let’s evaluate the double integral ∬ 𝑅 6 𝑥 𝑦 𝑑 𝐴, where 𝑅 is the region bounded by 𝑦 = 0, 𝑥 = 2, and 𝑦 = 𝑥 2. we will verify here that the order of integration is unimportant:. In double integrals over rectangular regions, we studied the concept of double integrals and examined the tools needed to compute them. we learned techniques and properties to integrate functions of two variables over rectangular regions.

Mvvc Unit 2 Multiple Integrals Pdf
Mvvc Unit 2 Multiple Integrals Pdf

Mvvc Unit 2 Multiple Integrals Pdf Master double integrals with step by step examples and practice problems. learn to calculate and apply them effectively. Double integrals are a way to integrate over a two dimensional area. among other things, they lets us compute the volume under a surface. Let’s evaluate the double integral ∬ 𝑅 6 𝑥 𝑦 𝑑 𝐴, where 𝑅 is the region bounded by 𝑦 = 0, 𝑥 = 2, and 𝑦 = 𝑥 2. we will verify here that the order of integration is unimportant:. In double integrals over rectangular regions, we studied the concept of double integrals and examined the tools needed to compute them. we learned techniques and properties to integrate functions of two variables over rectangular regions.

Understanding Double Integrals A Comprehensive Guide Course Hero
Understanding Double Integrals A Comprehensive Guide Course Hero

Understanding Double Integrals A Comprehensive Guide Course Hero Let’s evaluate the double integral ∬ 𝑅 6 𝑥 𝑦 𝑑 𝐴, where 𝑅 is the region bounded by 𝑦 = 0, 𝑥 = 2, and 𝑦 = 𝑥 2. we will verify here that the order of integration is unimportant:. In double integrals over rectangular regions, we studied the concept of double integrals and examined the tools needed to compute them. we learned techniques and properties to integrate functions of two variables over rectangular regions.

Multiple Integrals Tutorial And Double Integral Solutions With Examples
Multiple Integrals Tutorial And Double Integral Solutions With Examples

Multiple Integrals Tutorial And Double Integral Solutions With Examples

Comments are closed.