Simplify your online presence. Elevate your brand.

Ug Trb 2023 Maths Study Material Syllabus

Ug Trb 2023 Maths Study Material Syllabus
Ug Trb 2023 Maths Study Material Syllabus

Ug Trb 2023 Maths Study Material Syllabus Ug trb 2024 maths study materials are available now. Ug trb (bt brte) maths study material in pdf |teacher's care academy kanchipuram, trichy, salam, madurai download ug trb (bt brte) mathematics unit 7 complex analysis study material download.

Ug Trb 2023 Maths Study Material Syllabus
Ug Trb 2023 Maths Study Material Syllabus

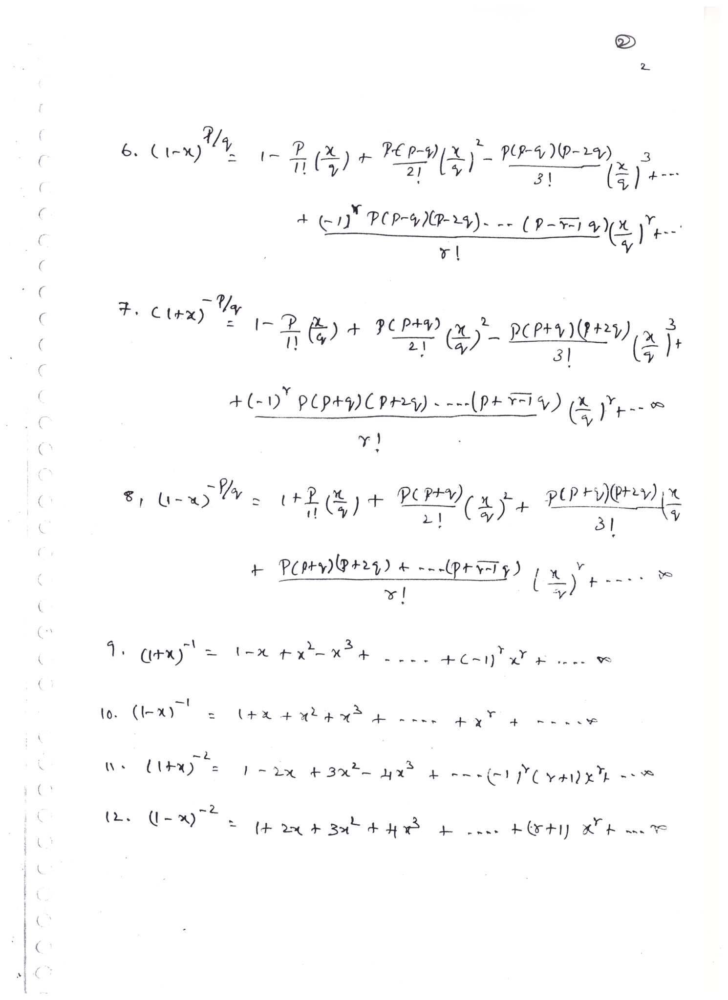
Ug Trb 2023 Maths Study Material Syllabus Download the ug trb mathematics syllabus. check subject wise topics, exam pattern, and preparation tips for tamil nadu trb maths exam aspirants. Each unit details key concepts, theorems, and methods such as polynomial equations, laplace transformations, fourier series, and statistical measures. it serves as a guide for advanced mathematical studies and applications. Ug trb sgt maths important study materials srimaan coaching centre download here. ug trb sgt english model test 1 important qns and ans tet coaching centre download here. ug trb english competitive exam model test 2 important qns and ans tet coaching centre download here. Get the full syllabus for teachers recruitment board exams. prepare effectively with our comprehensive guide!.

Ug Trb 2023 Maths Study Material Syllabus
Ug Trb 2023 Maths Study Material Syllabus

Ug Trb 2023 Maths Study Material Syllabus Ug trb sgt maths important study materials srimaan coaching centre download here. ug trb sgt english model test 1 important qns and ans tet coaching centre download here. ug trb english competitive exam model test 2 important qns and ans tet coaching centre download here. Get the full syllabus for teachers recruitment board exams. prepare effectively with our comprehensive guide!. Ug trb sgt maths important study materials srimaan coaching centre download here. ug trb sgt english model test 1 important qns and ans tet coaching centre download here. ug trb english competitive exam model test 2 important qns and ans tet coaching centre download here. Saturday, april 15, 2023 ug trb maths unit wise study material ug trb maths unit 1 study material english medium | e maths and science academy pdf download here ug trb maths unit 2 study material english medium | e maths and science academy pdf download here. The syllabus for the 9 subjects as published in gazette no.122, dated 25.02.2021 will be covered in the examination. the syllabus can be downloaded from the trb’s official website trb.tn.gov.in. Unlock your path to a teaching career in tamil nadu with our complete guide to the ug trb syllabus. from subject wise topics to exam tips, we cover it all.

Comments are closed.