Simplify your online presence. Elevate your brand.

Tutorial On Going Concern Tutorial On Going Concern Question 1

Tutorial On Going Concern Tutorial On Going Concern Question 1
Tutorial On Going Concern Tutorial On Going Concern Question 1

Tutorial On Going Concern Tutorial On Going Concern Question 1 Learn the basics of the going concern principle in this quick and easy accounting tutorial!. Learn what gaap requires for going concern disclosures, with real examples covering both alleviated and unalleviated substantial doubt.

Going Concern Notes Pdf Going Concern Business Economics
Going Concern Notes Pdf Going Concern Business Economics

Going Concern Notes Pdf Going Concern Business Economics When forecasting becomes less reliable and the past no longer predicts the future, the going concern assessment becomes much harder to document and update, and robust disclosures much more critical. this handbook provides an in depth look at management’s going concern assessment. The going concern concept of accounting implies that a business entity will continue its operations in the future and will not liquidate or be forced to discontinue operations due to any reason. In accounting, one assumption underpins everything we do — it's called the going concern principle. but what does it really mean?. What is the going concern assumption? the going concern assumption is a fundamental principle in accrual accounting, stating that a company will remain operating into the foreseeable future rather than undergo a liquidation.

Lesson 3 Going Concern Asset Based Valuation Tools Unit 1 Financial
Lesson 3 Going Concern Asset Based Valuation Tools Unit 1 Financial

Lesson 3 Going Concern Asset Based Valuation Tools Unit 1 Financial In accounting, one assumption underpins everything we do — it's called the going concern principle. but what does it really mean?. What is the going concern assumption? the going concern assumption is a fundamental principle in accrual accounting, stating that a company will remain operating into the foreseeable future rather than undergo a liquidation. When preparing financial statements, whether annual or interim, ias 8 [ias 1] requires management to assess the entity’s ability to continue as a going concern. However, due to the unforeseen circumstances, the company is forced to sell the on going project. as a consultant, you are appointed by jarum emas sdn bhd to estimate the worth of the project that can be offered to company benang perak sdn bhd. you have been furnished with the following information; gross development value (gdv). The going concern concept or going concern assumption states that businesses should be treated as if they will continue to operate indefinitely or at least long enough to accomplish their objectives. The going concern concept is critical to financial statement analysis. check the article below for an extensive look at this vital topic with examples.

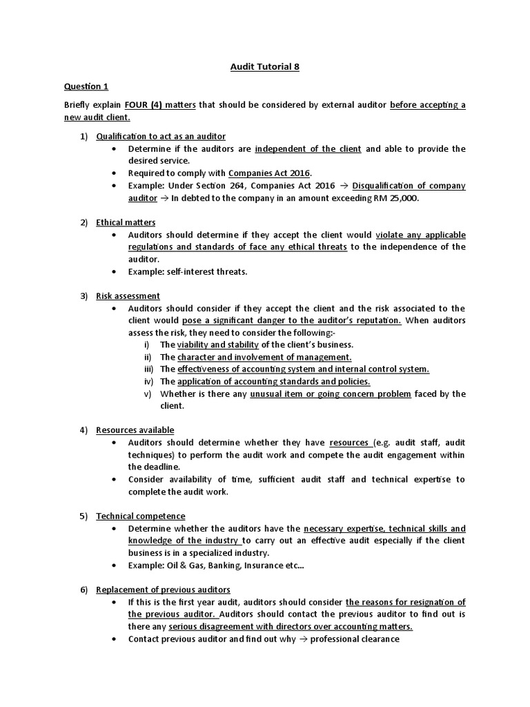
Audit Tutorial 8 Pdf Going Concern Audit
Audit Tutorial 8 Pdf Going Concern Audit

Audit Tutorial 8 Pdf Going Concern Audit When preparing financial statements, whether annual or interim, ias 8 [ias 1] requires management to assess the entity’s ability to continue as a going concern. However, due to the unforeseen circumstances, the company is forced to sell the on going project. as a consultant, you are appointed by jarum emas sdn bhd to estimate the worth of the project that can be offered to company benang perak sdn bhd. you have been furnished with the following information; gross development value (gdv). The going concern concept or going concern assumption states that businesses should be treated as if they will continue to operate indefinitely or at least long enough to accomplish their objectives. The going concern concept is critical to financial statement analysis. check the article below for an extensive look at this vital topic with examples.

Going Concern Concept Explained By Saheb Academy Youtube
Going Concern Concept Explained By Saheb Academy Youtube

Going Concern Concept Explained By Saheb Academy Youtube The going concern concept or going concern assumption states that businesses should be treated as if they will continue to operate indefinitely or at least long enough to accomplish their objectives. The going concern concept is critical to financial statement analysis. check the article below for an extensive look at this vital topic with examples.

Comments are closed.