Simplify your online presence. Elevate your brand.

They Lied I Used Calculus In Real Life Maximize Volume Optimization Techniques

Optimization Problems Find Smallest Sum Maximize Volume Course Hero
Optimization Problems Find Smallest Sum Maximize Volume Course Hero

Optimization Problems Find Smallest Sum Maximize Volume Course Hero In this video, we'll use derivatives from calculus 1 and integration from calculus 2 to solve a real world calculus optimization problem: volume maximization of a ballon. Master practical calculus optimization through four real world examples, including box dimensions, tank construction, shipping constraints, and cylinder volume calculations to maximize or minimize specific outcomes.

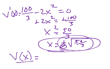
Calculus Optimization Of Volume Educreations
Calculus Optimization Of Volume Educreations

Calculus Optimization Of Volume Educreations 📊 want to learn how to solve real world math problems using calculus? this video breaks down optimization problems—the kind that show up in school, on tests, and in real life. This page contains a collection of calculus 1 optimization word problems with real world applications and complete step by step solutions. topics include maximum area, minimum distance, profit maximization, box volume, rectangles under curves, and cone optimization using derivatives. Suppose you want to find out how big to make the cut out squares in order to maximize the volume of the box. this applet will illustrate the box and how to think about this problem using calculus. In manufacturing, it is often desirable to minimize the amount of material used to package a product with a certain volume. in this section, we show how to set up these types of minimization and maximization problems and solve them by using the tools developed in this chapter.

Optimization Box Problem Maximize Volume Educreations
Optimization Box Problem Maximize Volume Educreations

Optimization Box Problem Maximize Volume Educreations Suppose you want to find out how big to make the cut out squares in order to maximize the volume of the box. this applet will illustrate the box and how to think about this problem using calculus. In manufacturing, it is often desirable to minimize the amount of material used to package a product with a certain volume. in this section, we show how to set up these types of minimization and maximization problems and solve them by using the tools developed in this chapter. "in real life," problems are much more complex. the equations are often not reducible to a single variable (hence multi variable calculus is needed) and the equations themselves may be difficult to form. In manufacturing, it is often desirable to minimize the amount of material used to package a product with a certain volume. in this section, we show how to set up these types of minimization and maximization problems and solve them by using the tools developed in this chapter. This video goes through the essential steps of identifying constrained optimization problems, setting up the equations, and using calculus to solve for the optimum points. In manufacturing, it is often desirable to minimize the amount of material used to package a product with a certain volume. in this section, we show how to set up these types of minimization and maximization problems and solve them by using the tools developed in this chapter.

How To Maximize Box Volume Using Calculus By Maria Clark 7 Steps
How To Maximize Box Volume Using Calculus By Maria Clark 7 Steps

How To Maximize Box Volume Using Calculus By Maria Clark 7 Steps "in real life," problems are much more complex. the equations are often not reducible to a single variable (hence multi variable calculus is needed) and the equations themselves may be difficult to form. In manufacturing, it is often desirable to minimize the amount of material used to package a product with a certain volume. in this section, we show how to set up these types of minimization and maximization problems and solve them by using the tools developed in this chapter. This video goes through the essential steps of identifying constrained optimization problems, setting up the equations, and using calculus to solve for the optimum points. In manufacturing, it is often desirable to minimize the amount of material used to package a product with a certain volume. in this section, we show how to set up these types of minimization and maximization problems and solve them by using the tools developed in this chapter.

How To Maximize Box Volume Using Calculus By Maria Clark 7 Steps
How To Maximize Box Volume Using Calculus By Maria Clark 7 Steps

How To Maximize Box Volume Using Calculus By Maria Clark 7 Steps This video goes through the essential steps of identifying constrained optimization problems, setting up the equations, and using calculus to solve for the optimum points. In manufacturing, it is often desirable to minimize the amount of material used to package a product with a certain volume. in this section, we show how to set up these types of minimization and maximization problems and solve them by using the tools developed in this chapter.

Comments are closed.