Simplify your online presence. Elevate your brand.

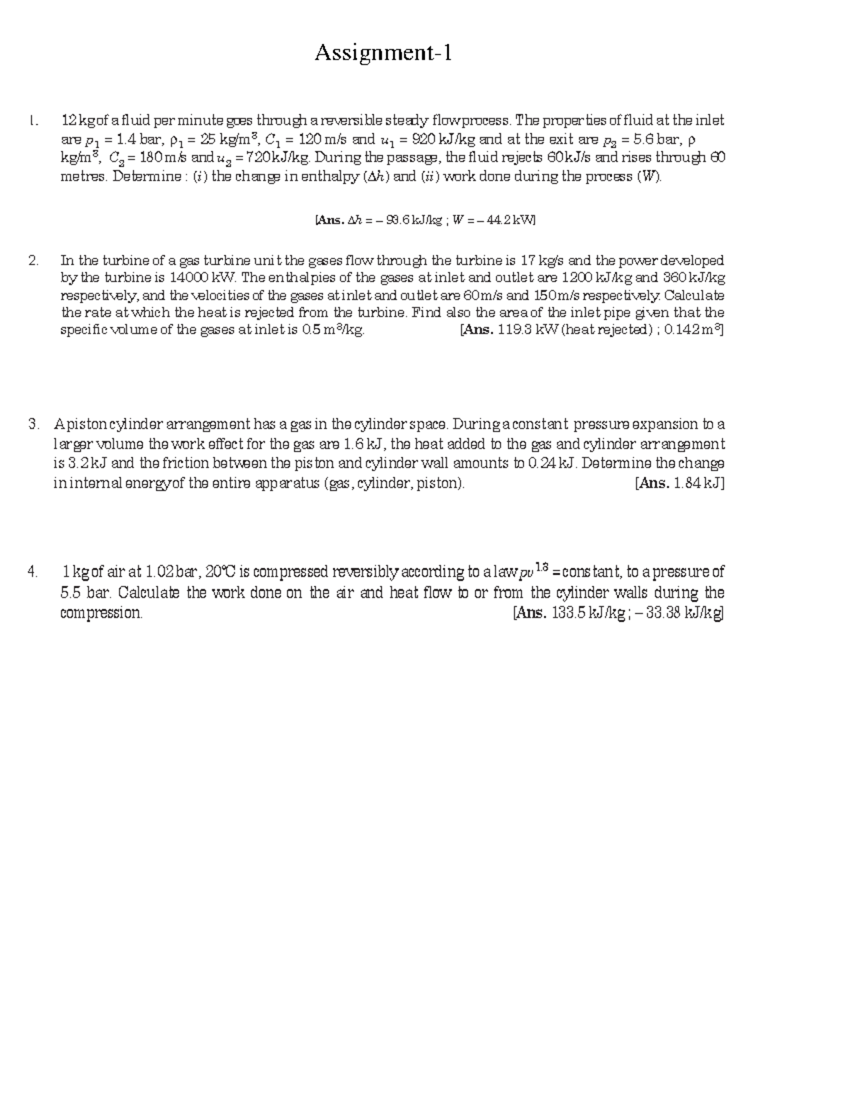
Thermodynamics Practice Problems 1

First Law Of Thermodynamics Practice Problems Compress Pdf Heat
First Law Of Thermodynamics Practice Problems Compress Pdf Heat

First Law Of Thermodynamics Practice Problems Compress Pdf Heat Practice problems on the first law of thermodynamics, covering non flow and steady flow processes. ideal for college level thermodynamics students. A compressor takes atmospheric air (molecular weight of 29 kg kmol) at 103.4 kpa and 20°c and delivers it at 1.034 mpa and 175°c. the compression process is polytropic.

Thermodynamics Practice Problems Solutions Lesson Study
Thermodynamics Practice Problems Solutions Lesson Study

Thermodynamics Practice Problems Solutions Lesson Study This sampler mirrors the full thermodynamics problem pack: worked problems, conceptual drills, cycle comparisons, and mcqs with clear rationales. use it for exam prep, coursework revision, or interview preparation. This document provides 30 practice problems for an online engineering thermodynamics review session. it includes multiple choice questions covering various thermodynamics topics like properties and units, conservation of mass, heat transfer, the first law of thermodynamics, and nozzles. Practice solving first law of thermodynamics problems with practice problems and explanations. get instant feedback, extra help and step by step explanations. Explore first law of thermodynamics with interactive practice questions. get instant answer verification, watch video solutions, and gain a deeper understanding of this essential physics topic.

Assignment 1 Thermodynamics Practice Problems Aeronautical
Assignment 1 Thermodynamics Practice Problems Aeronautical

Assignment 1 Thermodynamics Practice Problems Aeronautical Practice solving first law of thermodynamics problems with practice problems and explanations. get instant feedback, extra help and step by step explanations. Explore first law of thermodynamics with interactive practice questions. get instant answer verification, watch video solutions, and gain a deeper understanding of this essential physics topic. Practice problems covering the first law of thermodynamics, including temperature conversions, work, and energy calculations. 1 examining a power plant consider a power plant. at point 1 the working gas has a temperature of t = 25 c. the pressure is 1bar and the mass flow is ̇m = 2kg s. after point 1, the air enters a compressor, at which the pressure is increased to 6 bar. (this is point 2.) after this, the flow is heated to t3 = 700 c. (this is stage 3.). The questions cover topics like fluid mechanics, thermodynamics, material properties, and calculations involving mass, volume, density, pressure, and temperature. Let's solve a few problems to understand the first law of thermodynamics.

Thermodynamics Practice Questions Pdf Enthalpy Chemical Reactions
Thermodynamics Practice Questions Pdf Enthalpy Chemical Reactions

Thermodynamics Practice Questions Pdf Enthalpy Chemical Reactions Practice problems covering the first law of thermodynamics, including temperature conversions, work, and energy calculations. 1 examining a power plant consider a power plant. at point 1 the working gas has a temperature of t = 25 c. the pressure is 1bar and the mass flow is ̇m = 2kg s. after point 1, the air enters a compressor, at which the pressure is increased to 6 bar. (this is point 2.) after this, the flow is heated to t3 = 700 c. (this is stage 3.). The questions cover topics like fluid mechanics, thermodynamics, material properties, and calculations involving mass, volume, density, pressure, and temperature. Let's solve a few problems to understand the first law of thermodynamics.

Solution Thermodynamics Practice Exercise 1 Studypool
Solution Thermodynamics Practice Exercise 1 Studypool

Solution Thermodynamics Practice Exercise 1 Studypool The questions cover topics like fluid mechanics, thermodynamics, material properties, and calculations involving mass, volume, density, pressure, and temperature. Let's solve a few problems to understand the first law of thermodynamics.

Solution Thermodynamics Practice Quiz Studypool
Solution Thermodynamics Practice Quiz Studypool

Solution Thermodynamics Practice Quiz Studypool

Comments are closed.