Simplify your online presence. Elevate your brand.

Template Rpp Deep Learning Teaching Module

Template Modul Ajar Rpp Kurikulum Merdeka Pdf
Template Modul Ajar Rpp Kurikulum Merdeka Pdf

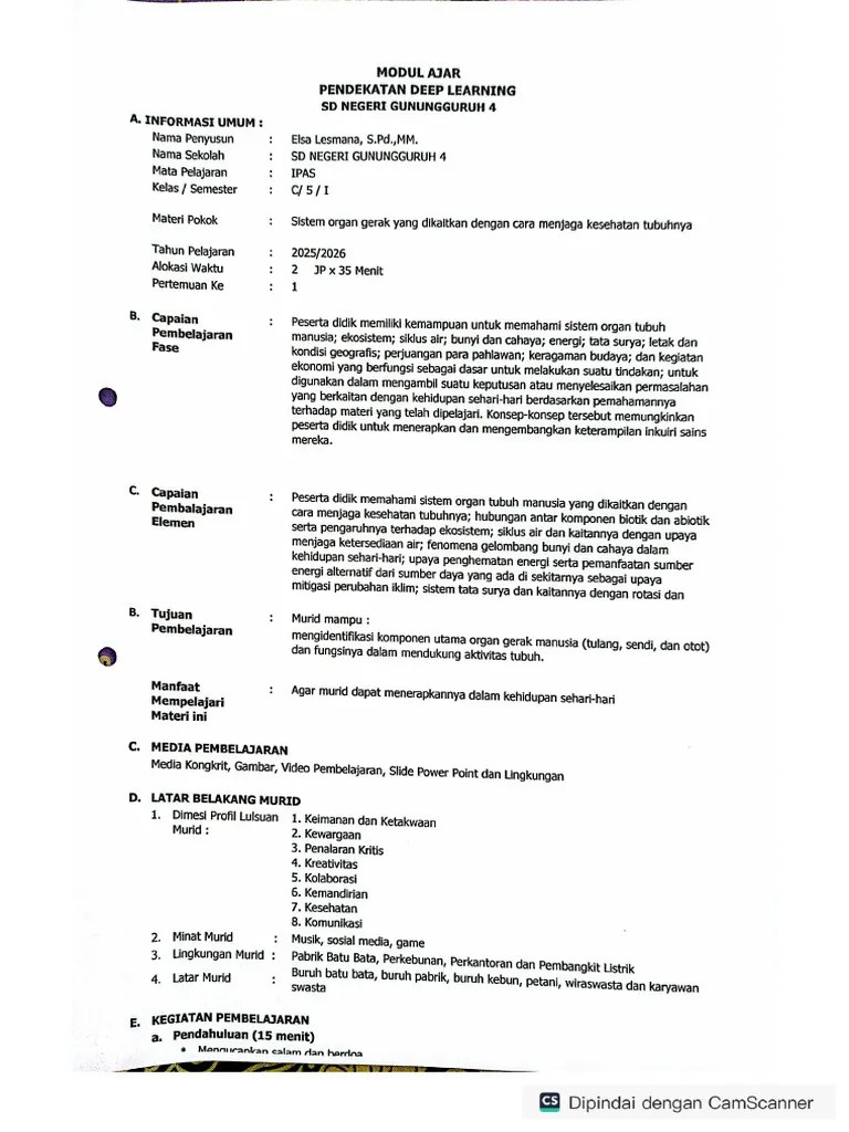
Template Modul Ajar Rpp Kurikulum Merdeka Pdf Temukan contoh format rpp berbasis deep learning (pembelajaran mendalam) disertai penjelasan lengkap komponen yang harus ada dalam modul ajar rpp. Dokumen ini adalah template rpp untuk pembelajaran deep learning yang mencakup identitas pembelajaran, tujuan pembelajaran berbasis makna, pertanyaan pemantik, kegiatan pembelajaran, asesmen, bahan dan media, penguatan nilai, serta catatan guru.

Template Rpp Deep Learning Pdf
Template Rpp Deep Learning Pdf

Template Rpp Deep Learning Pdf Rencana pelaksanaan pembelajaran mendalam (deep learning) adalah sebuah pendekatan dalam merancang pengalaman belajar yang bertujuan untuk mencapai pemahaman konsep dan penguasaan kompetensi secara mendalam, kritis, dan bermakna bagi peserta didik. Modul ajar (rencana pelaksanaan) pembelajaran mendalam (deep learning) adalah sebuah pendekatan dalam merancang pengalaman belajar yang bertujuan untuk mencapai pemahaman konsep dan penguasaan kompetensi secara mendalam, kritis, dan bermakna bagi peserta didik. Modul ajar atau rpp (rencana pelaksanaan pembelajaran) deep learning adalah pendekatan dalam merancang kegiatan belajar mengajar yang berfokus pada pemahaman yang mendalam, bukan sekadar menghafal. tujuannya adalah mendorong siswa untuk berpikir kritis, kreatif, dan kolaboratif. Berikut ini contoh rpp dan modul ajar pembelajaran mendalam (deep learning) jenjang smp mts kelas 7, 8 dan 9 untuk mata pelajaran bahasa indonesia.

Rpp Deep Learning Pdf
Rpp Deep Learning Pdf

Rpp Deep Learning Pdf Contoh nyata, seperti format rpp atau modul ajar yang sudah jadi, dapat menjadi acuan konkret dalam memahami struktur, langkah langkah, serta bahasa yang tepat digunakan dalam dokumen perencanaan. Download contoh rpp deep learning untuk guru smp dan sma. format lengkap, aplikatif, dan sesuai pendekatan pembelajaran abad 21. Berikut adalah contoh format rpp dengan menggunakan kurikulum deep learning untuk membantu mengoptimalkan proses pembelajaran. contoh ini bisa diterapkan untuk berbagai jenjang pendidikan. Merancang tahapan pembelajaran dengan langkah langkah kegiatan awal, inti dan penutup. 4. asesmen. a. asesmen pada awal pembelajaran. b. asesmen pada proses pembelajaran. 1. peserta didik (opsional): identifikasi kesiapan peserta didik sebelum belajar, seperti pengetahuan awal, minat, latar belakang, dan kebutuhan belajar, serta aspek lainnya. 2.

Template Rpp Project Based Learning Untuk Pm Deep Learning Yes Docx
Template Rpp Project Based Learning Untuk Pm Deep Learning Yes Docx

Template Rpp Project Based Learning Untuk Pm Deep Learning Yes Docx

Template Rpp Deep Learning Isi Pdf
Template Rpp Deep Learning Isi Pdf

Template Rpp Deep Learning Isi Pdf

Rpp Deep Learning Ips Kelas 7 Semester 1 Pdf
Rpp Deep Learning Ips Kelas 7 Semester 1 Pdf

Rpp Deep Learning Ips Kelas 7 Semester 1 Pdf

Jual Modul Ajar Rpp Deep Learning Koding Fase E Kelas 10 Rpp Deep
Jual Modul Ajar Rpp Deep Learning Koding Fase E Kelas 10 Rpp Deep

Jual Modul Ajar Rpp Deep Learning Koding Fase E Kelas 10 Rpp Deep

Ini Contoh Template Rpp Deep Learning Pptx
Ini Contoh Template Rpp Deep Learning Pptx

Ini Contoh Template Rpp Deep Learning Pptx

Contoh Rpp Deep Learning Pdf
Contoh Rpp Deep Learning Pdf

Contoh Rpp Deep Learning Pdf

Template Rpp Deep Learning Pdf
Template Rpp Deep Learning Pdf

Template Rpp Deep Learning Pdf

Template Rpp Deep Learning Pdf
Template Rpp Deep Learning Pdf

Template Rpp Deep Learning Pdf

Template Rpp Deep Learning Isi Pdf
Template Rpp Deep Learning Isi Pdf

Template Rpp Deep Learning Isi Pdf

Template Rpp Deep Learning Pdf
Template Rpp Deep Learning Pdf

Template Rpp Deep Learning Pdf

Format Rpp Deep Learning Pdf
Format Rpp Deep Learning Pdf

Format Rpp Deep Learning Pdf

Contoh Rpp Deep Learning Pdf
Contoh Rpp Deep Learning Pdf

Contoh Rpp Deep Learning Pdf

Template Rpp Deep Learning Pdf
Template Rpp Deep Learning Pdf

Template Rpp Deep Learning Pdf

Template Rpp Deep Learning Pdf
Template Rpp Deep Learning Pdf

Template Rpp Deep Learning Pdf

Rpp Deep Learning Kimia Kelas Xi Pdf
Rpp Deep Learning Kimia Kelas Xi Pdf

Rpp Deep Learning Kimia Kelas Xi Pdf

Rpp Deep Learning
Rpp Deep Learning

Rpp Deep Learning

Rpp Deep Learning Pdf
Rpp Deep Learning Pdf

Rpp Deep Learning Pdf

Contoh Rpp Deep Learning Untuk Guru Smp Dan Sma Dea Learning Center
Contoh Rpp Deep Learning Untuk Guru Smp Dan Sma Dea Learning Center

Contoh Rpp Deep Learning Untuk Guru Smp Dan Sma Dea Learning Center

Download Contoh Rpp Deep Learning Mengenal Deep Learning Dan Taksonomi
Download Contoh Rpp Deep Learning Mengenal Deep Learning Dan Taksonomi

Download Contoh Rpp Deep Learning Mengenal Deep Learning Dan Taksonomi

Rpp Deep Learning Kelas 4 Matematika Pdf
Rpp Deep Learning Kelas 4 Matematika Pdf

Rpp Deep Learning Kelas 4 Matematika Pdf

Template Rpp Deep Learning Pdf
Template Rpp Deep Learning Pdf

Template Rpp Deep Learning Pdf

Template Rpp Deep Learning Pdf
Template Rpp Deep Learning Pdf

Template Rpp Deep Learning Pdf

Template Rpp Deep Learning Pdf
Template Rpp Deep Learning Pdf

Template Rpp Deep Learning Pdf

Contoh Rpp Deep Learning Pdf
Contoh Rpp Deep Learning Pdf

Contoh Rpp Deep Learning Pdf

Contoh Rpp Deep Learning Pdf
Contoh Rpp Deep Learning Pdf

Contoh Rpp Deep Learning Pdf

Template Rpp Deep Learning Pdf
Template Rpp Deep Learning Pdf

Template Rpp Deep Learning Pdf

Template Rpp Deep Learning Pdf
Template Rpp Deep Learning Pdf

Template Rpp Deep Learning Pdf

Template Rpp Deep Learning Pdf
Template Rpp Deep Learning Pdf

Template Rpp Deep Learning Pdf

Rpp Deep Learning
Rpp Deep Learning

Rpp Deep Learning

Rpp Deep Learning 1 Pdf
Rpp Deep Learning 1 Pdf

Rpp Deep Learning 1 Pdf

Format Rpp Deep Learning Pdf
Format Rpp Deep Learning Pdf

Format Rpp Deep Learning Pdf

Rpp Deep Learning Ppkn Kelas 7 Pdf
Rpp Deep Learning Ppkn Kelas 7 Pdf

Rpp Deep Learning Ppkn Kelas 7 Pdf

Comments are closed.