Simplify your online presence. Elevate your brand.

Tabla Amortizacion Pdf

Tabla Amortizacion Pdf
Tabla Amortizacion Pdf

Tabla Amortizacion Pdf Elabora la tabla de amortización, según la metodología escogida, con el fin de identificar la mejor opción según las necesidades empresariales y en finanzas personales. aplica el método de amortización para dar soluciones a problemas de préstamos, deuda e interés causado. Instalaciones subestaciones. redes de trans. 3 otros enseres 15% 14 6,67 equip. s electrónicos e in. s de información 25% 8 4,00 si.

Tabla De Amortización Pdf
Tabla De Amortización Pdf

Tabla De Amortización Pdf 2.1.1.8 viales, pavimentados, aparcamiento al aire libre y similar (excluido terrenos). 2.1.1.9 casetas, cobertizos y similares de construcción liviana fija. 2.1.5.1 tratamiento de fluidos: aire, aire acondicionado, humidificado, comprimido, agua, vapor, calefacción, refrigeración. Tablas de amortización free download as pdf file (.pdf), text file (.txt) or read online for free. Tablas de coeficientes anuales de amortización tabla simplificada a) para el cálculo del rendimiento neto minorado mediante el régimen de estimación objetiva del irpf ( om hac 225 2003). Tablas de amortización de los inmovilizados materiales aplicables a partir de 2015 a partir de 2015, las tablas de amortización de los activos de la empresa se simplifican y, en algunos casos, se modifican los coeficientes aplicables.

Tabla De Amortizacion 1 Pdf
Tabla De Amortizacion 1 Pdf

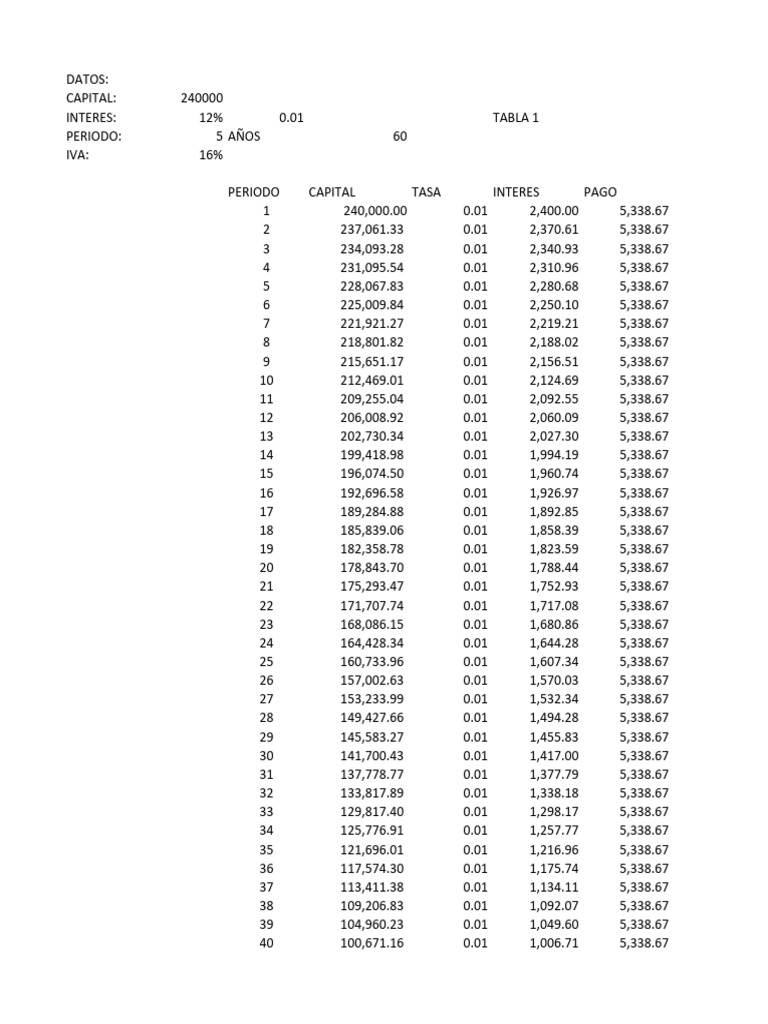
Tabla De Amortizacion 1 Pdf Tablas de coeficientes anuales de amortización tabla simplificada a) para el cálculo del rendimiento neto minorado mediante el régimen de estimación objetiva del irpf ( om hac 225 2003). Tablas de amortización de los inmovilizados materiales aplicables a partir de 2015 a partir de 2015, las tablas de amortización de los activos de la empresa se simplifican y, en algunos casos, se modifican los coeficientes aplicables. Para visualizar mejor este proceso conviene elaborar una tabla de amortización que muestre lo que sucede con los pagos, los intereses, la deuda, la amortización y el saldo. Equipos electrónicos e informáticos. sistemas y programas. Tabla de amortización free download as excel spreadsheet (.xls .xlsx), pdf file (.pdf), text file (.txt) or read online for free. El documento presenta una tabla de amortización que detalla el cálculo de intereses y pagos a capital en un crédito. se inicia con un capital de $35,000.00, con pagos constantes de $9,080.57, y se describe la fórmula para calcular el interés compuesto y el capital restante a lo largo de los periodos.

Tabla De Amortizacion Pdf
Tabla De Amortizacion Pdf

Tabla De Amortizacion Pdf Para visualizar mejor este proceso conviene elaborar una tabla de amortización que muestre lo que sucede con los pagos, los intereses, la deuda, la amortización y el saldo. Equipos electrónicos e informáticos. sistemas y programas. Tabla de amortización free download as excel spreadsheet (.xls .xlsx), pdf file (.pdf), text file (.txt) or read online for free. El documento presenta una tabla de amortización que detalla el cálculo de intereses y pagos a capital en un crédito. se inicia con un capital de $35,000.00, con pagos constantes de $9,080.57, y se describe la fórmula para calcular el interés compuesto y el capital restante a lo largo de los periodos.

Comments are closed.