Simplify your online presence. Elevate your brand.

Summative Test Arts 1 1 Pdf

Summative Test Arts Pdf Abstract Art Color
Summative Test Arts Pdf Abstract Art Color

Summative Test Arts Pdf Abstract Art Color Summative test arts 1.1 free download as word doc (.doc .docx), pdf file (.pdf), text file (.txt) or read online for free. Long summative test first quarter grade 8 mapeh arts “arts and crafts of southeast asia” view download learning material | doc published on 2020 may 4th.

Summative Test In Arts 10 Pdf
Summative Test In Arts 10 Pdf

Summative Test In Arts 10 Pdf Summative test compilation for grade 1 6 (1st – 4th quarter) the goal of summative assessment is to evaluate student learning at the end of an instructional unit by comparing it against some standard or benchmark. Summative test # 1 in arts q1 free download as word doc (.doc .docx), pdf file (.pdf), text file (.txt) or read online for free. this document is a test for students in the philippines, focusing on elements of art and design principles. This summarizes a summative test on arts. it contains multiple choice and matching questions testing knowledge of different art forms like literature, visual arts, performing arts, and media arts. Summative test 1.1 free download as word doc (.doc .docx), pdf file (.pdf), text file (.txt) or read online for free.

1st Summative Test Pdf
1st Summative Test Pdf

1st Summative Test Pdf Summative arts 1 free download as word doc (.doc .docx), pdf file (.pdf), text file (.txt) or read online for free. the document is a summative test for arts 9 from the department of education in the philippines, specifically for lanao national high school. Grade 1 summative test compilation sy 2025 2026, free download. this test is meticulously crafted to align with the educational standards of kindergarten, grades 1 8 on the matatag curriculum. it covers a range of subjects and topics designed to assess the students' grasp of fundamental concepts. View contemporary arts summative test 1st.pdf from ed 3 at amity university department of education. republic of the philippines department of education region vii central visayas division of cebu. It is learned from family or community members and is passed along through generations, with each artist remaining true to time honored methods of techniques, yet free to add personal creativity to the process.

1st Summative Test 2q Pdf The Arts
1st Summative Test 2q Pdf The Arts

1st Summative Test 2q Pdf The Arts View contemporary arts summative test 1st.pdf from ed 3 at amity university department of education. republic of the philippines department of education region vii central visayas division of cebu. It is learned from family or community members and is passed along through generations, with each artist remaining true to time honored methods of techniques, yet free to add personal creativity to the process.

Summative Test Arts 1 1 Pdf
Summative Test Arts 1 1 Pdf

Summative Test Arts 1 1 Pdf

Contemporary Arts Summative Test 1 Module 1 Pdf The Arts Aesthetics
Contemporary Arts Summative Test 1 Module 1 Pdf The Arts Aesthetics

Contemporary Arts Summative Test 1 Module 1 Pdf The Arts Aesthetics

Arts 4 1st Summative Test Pdf
Arts 4 1st Summative Test Pdf

Arts 4 1st Summative Test Pdf

Summative Test 1 1 Pdf Paintings The Arts
Summative Test 1 1 Pdf Paintings The Arts

Summative Test 1 1 Pdf Paintings The Arts

1st Summative Test Pdf
1st Summative Test Pdf

1st Summative Test Pdf

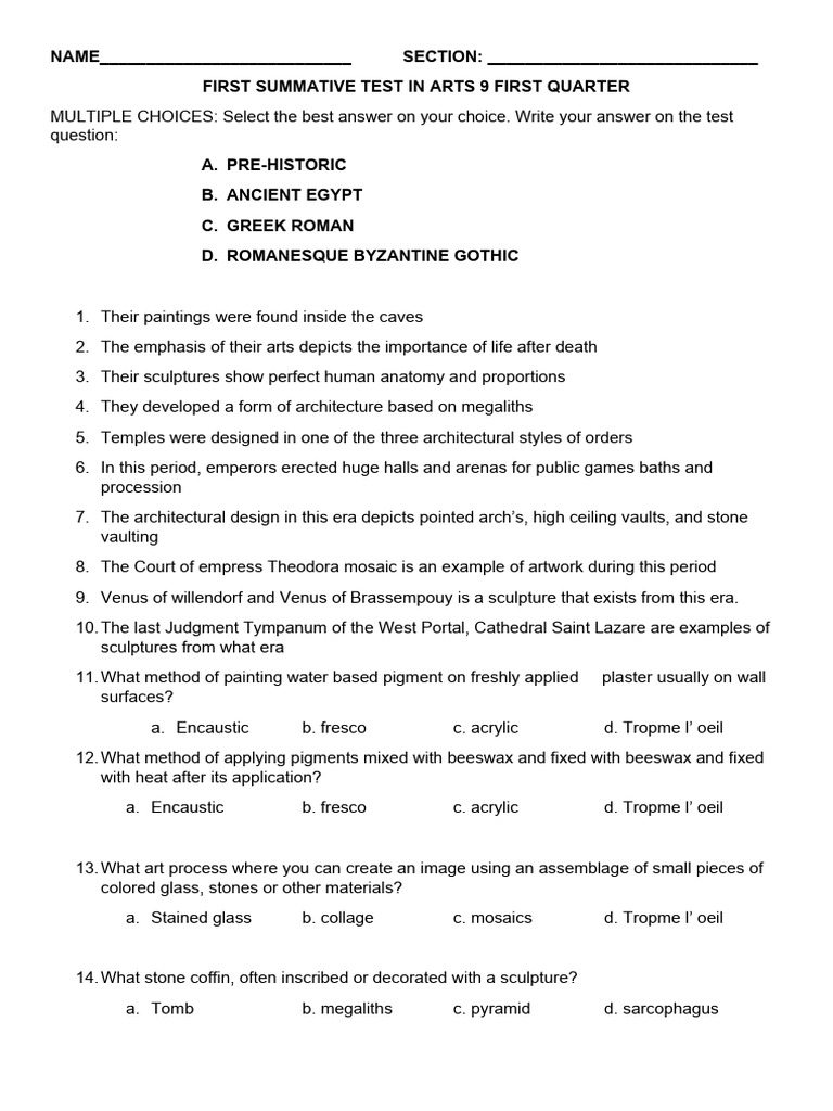
First Summative Test In Arts 9 First Quarter Pdf
First Summative Test In Arts 9 First Quarter Pdf

First Summative Test In Arts 9 First Quarter Pdf

Arts Summative Test 3 Download Free Pdf Sculpture Romanticism
Arts Summative Test 3 Download Free Pdf Sculpture Romanticism

Arts Summative Test 3 Download Free Pdf Sculpture Romanticism

Arts Summative Test Arts Q4 Pdf
Arts Summative Test Arts Q4 Pdf

Arts Summative Test Arts Q4 Pdf

Summative Test Arts 4th Quarter Pdf Oral Literature Theatre
Summative Test Arts 4th Quarter Pdf Oral Literature Theatre

Summative Test Arts 4th Quarter Pdf Oral Literature Theatre

Summative Test In Arts 4th Quarter Download Free Pdf Dances
Summative Test In Arts 4th Quarter Download Free Pdf Dances

Summative Test In Arts 4th Quarter Download Free Pdf Dances

1st Summative Test Pdf
1st Summative Test Pdf

1st Summative Test Pdf

Summative Test 1 Music Q2 Pdf
Summative Test 1 Music Q2 Pdf

Summative Test 1 Music Q2 Pdf

Summative Test Arts Pdf
Summative Test Arts Pdf

Summative Test Arts Pdf

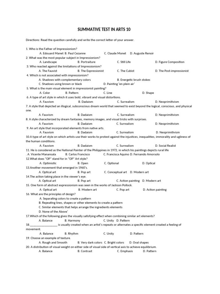
Summative Test In Arts 10 Pdf Style Modernism
Summative Test In Arts 10 Pdf Style Modernism

Summative Test In Arts 10 Pdf Style Modernism

Summative Test Music And Arts Download Free Pdf String Instruments
Summative Test Music And Arts Download Free Pdf String Instruments

Summative Test Music And Arts Download Free Pdf String Instruments

1st Summative Arts 6 Pdf Logos Vision
1st Summative Arts 6 Pdf Logos Vision

1st Summative Arts 6 Pdf Logos Vision

Summative Test Arts Pe Pdf
Summative Test Arts Pe Pdf

Summative Test Arts Pe Pdf

Summative Test In Arts 5 Pdf
Summative Test In Arts 5 Pdf

Summative Test In Arts 5 Pdf

Summative Test 1 Arts 2nd Quarter Pdf
Summative Test 1 Arts 2nd Quarter Pdf

Summative Test 1 Arts 2nd Quarter Pdf

Summative Test 1 2 Pdf Paintings The Arts
Summative Test 1 2 Pdf Paintings The Arts

Summative Test 1 2 Pdf Paintings The Arts

Q2 Arts Summative Test Special Class A Pdf Camera Digital Photography
Q2 Arts Summative Test Special Class A Pdf Camera Digital Photography

Q2 Arts Summative Test Special Class A Pdf Camera Digital Photography

Summative Test Arts 8 Q1 Pdf Textiles
Summative Test Arts 8 Q1 Pdf Textiles

Summative Test Arts 8 Q1 Pdf Textiles

Summative Test In Arts Second Grading Pdf Leonardo Da Vinci
Summative Test In Arts Second Grading Pdf Leonardo Da Vinci

Summative Test In Arts Second Grading Pdf Leonardo Da Vinci

Summative Test Q1 Music And Arts Pdf Opera Performing Arts
Summative Test Q1 Music And Arts Pdf Opera Performing Arts

Summative Test Q1 Music And Arts Pdf Opera Performing Arts

Summative In Arts Pdf
Summative In Arts Pdf

Summative In Arts Pdf

1st Summative Test Pdf
1st Summative Test Pdf

1st Summative Test Pdf

Summative Test Arts Pdf Origami Paintings
Summative Test Arts Pdf Origami Paintings

Summative Test Arts Pdf Origami Paintings

Arts Summative Test 2nd Quarter Pdf Cartoon Graphic Design
Arts Summative Test 2nd Quarter Pdf Cartoon Graphic Design

Arts Summative Test 2nd Quarter Pdf Cartoon Graphic Design

Summative Test In Arts 7 Q2 Pdf
Summative Test In Arts 7 Q2 Pdf

Summative Test In Arts 7 Q2 Pdf

1st Summative Test Pdf
1st Summative Test Pdf

1st Summative Test Pdf

First Summative Test In Arts 8 First Quarter Pdf
First Summative Test In Arts 8 First Quarter Pdf

First Summative Test In Arts 8 First Quarter Pdf

Comments are closed.