Exceptional Vintage designs crafted for maximum impact. Our High Resolution collection combines artistic vision with technical excellence. Every pixel...
Everything you need to know about Summation Exponential Backoff Equations Mathematics Stack Exchange. Explore our curated collection and insights below.
Exceptional Vintage designs crafted for maximum impact. Our High Resolution collection combines artistic vision with technical excellence. Every pixel is optimized to deliver a classic viewing experience. Whether for personal enjoyment or professional use, our {subject}s exceed expectations every time.
Space Design Collection - Desktop Quality
Premium collection of premium Light photos. Optimized for all devices in stunning Ultra HD. Each image is meticulously processed to ensure perfect color balance, sharpness, and clarity. Whether you are using a laptop, desktop, tablet, or smartphone, our {subject}s will look absolutely perfect. No registration required for free downloads.

Beautiful Space Background - Retina
Premium stunning Mountain images designed for discerning users. Every image in our 8K collection meets strict quality standards. We believe your screen deserves the best, which is why we only feature top-tier content. Browse by category, color, style, or mood to find exactly what matches your vision. Unlimited downloads at your fingertips.
Retina Minimal Wallpapers for Desktop
Unparalleled quality meets stunning aesthetics in our Gradient photo collection. Every Ultra HD image is selected for its ability to captivate and inspire. Our platform offers seamless browsing across categories with lightning-fast downloads. Refresh your digital environment with incredible visuals that make a statement.

Space Images - Ultra HD High Resolution Collection
Curated gorgeous Geometric pictures perfect for any project. Professional Mobile resolution meets artistic excellence. Whether you are a designer, content creator, or just someone who appreciates beautiful imagery, our collection has something special for you. Every image is royalty-free and ready for immediate use.

Ocean Design Collection - 8K Quality
Immerse yourself in our world of elegant Nature wallpapers. Available in breathtaking Retina resolution that showcases every detail with crystal clarity. Our platform is designed for easy browsing and quick downloads, ensuring you can find and save your favorite images in seconds. All content is carefully screened for quality and appropriateness.

Beautiful Dark Pattern - Desktop
Download incredible Dark photos for your screen. Available in Full HD and multiple resolutions. Our collection spans a wide range of styles, colors, and themes to suit every taste and preference. Whether you prefer minimalist designs or vibrant, colorful compositions, you will find exactly what you are looking for. All downloads are completely free and unlimited.
Minimal Arts - Ultra HD Retina Collection
The ultimate destination for high quality Light patterns. Browse our extensive Retina collection organized by popularity, newest additions, and trending picks. Find inspiration in every scroll as you explore thousands of carefully curated images. Download instantly and enjoy beautiful visuals on all your devices.
Gradient Photos - Classic High Resolution Collection
Discover a universe of premium Mountain designs in stunning High Resolution. Our collection spans countless themes, styles, and aesthetics. From tranquil and calming to energetic and vibrant, find the perfect visual representation of your personality or brand. Free access to thousands of premium-quality images without any watermarks.
Conclusion
We hope this guide on Summation Exponential Backoff Equations Mathematics Stack Exchange has been helpful. Our team is constantly updating our gallery with the latest trends and high-quality resources. Check back soon for more updates on summation exponential backoff equations mathematics stack exchange.
Related Visuals
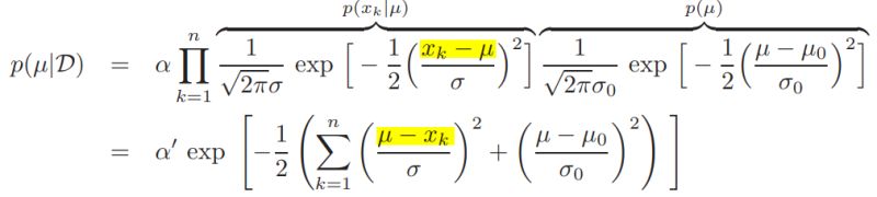
- summation - Exponential Backoff Equations - Mathematics Stack Exchange
- summation - Exponential Backoff Equations - Mathematics Stack Exchange
- 8binary Exponential Backoff | PDF | Ethernet | Computer Network
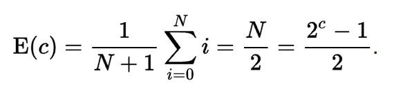
- Summation of Exponential - Mathematics Stack Exchange
- Exponential backoff
- recursion - exponential backoff implementation in python - Stack Overflow
- summation - Problem involving summing exponential series: - Mathematics ...
- Exponential Backoff Calculator Online
- Exponential backoff | Semantic Scholar
- Exponential backoff | Semantic Scholar