Simplify your online presence. Elevate your brand.

State Diagram Example Sequential Circuit

State Diagram Example Sequential Circuit
State Diagram Example Sequential Circuit

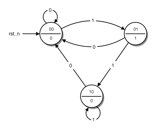
State Diagram Example Sequential Circuit The state diagram is a visual representation of how sequential circuits behave. it clearly depicts the transition of states from one state to the next, as well as the output for a given input. The state diagram is the pictorial representation of the behavior of sequential circuits. it clearly shows the transition of states from the present state to the next state and output for a corresponding input.

State Diagram Example Sequential Circuit Circuit Diagram
State Diagram Example Sequential Circuit Circuit Diagram

State Diagram Example Sequential Circuit Circuit Diagram Even though the behavior of a sequential circuit can be conveniently described using a state diagram, for its implementation the information contained in the state diagram is to be translated into a state table. Circuit, state diagram, state table circuits with flip flop = sequential circuit circuit = state diagram = state table state minimization sequential circuit design example: sequence detector example: binary counter. A state diagram example for sequential circuits shows the various states that a given circuit can occupy. each state is represented by a unique line or node in the diagram, with the nodes linked together to represent transitions between each state. This document discusses sequential circuits, including their characteristics, types, examples, and how they differ from combinational circuits. it covers state tables and state diagrams, mealy and moore state machines, and analyzing sequential circuits.

State Diagram Example Sequential Circuits Circuit Diagram
State Diagram Example Sequential Circuits Circuit Diagram

State Diagram Example Sequential Circuits Circuit Diagram A state diagram example for sequential circuits shows the various states that a given circuit can occupy. each state is represented by a unique line or node in the diagram, with the nodes linked together to represent transitions between each state. This document discusses sequential circuits, including their characteristics, types, examples, and how they differ from combinational circuits. it covers state tables and state diagrams, mealy and moore state machines, and analyzing sequential circuits. Combinational circuits output is simply dependent on the current input sequential circuits output may depend on the input sequence the effect of the input sequence can be memorized as a state of the system so a sequential circuit is also called a state machine memory elements (usually d flop flips) are used to store the state. The state diagram is a graphical representation of a sequential circuit in which the state are represented by circles and transitions between states shown by arrows. in another words, a state diagram consists of nodes interconnecting directed line segments corresponding to each state of the circuit. q1 xa g(xiq) qi state transition. This is a diagram that is made from circles and arrows and describes visually the operation of our circuit. in mathematic terms, this diagram that describes the operation of our sequential circuit is a finite state machine. Design of synchronous sequential circuits with an example. translation of state transition table into excitation table. the design of sequential circuit starts with verbal specifications of the problem (see figure 1). the next step is to derive the state table of the sequential circuit.

State Diagram Example Sequential Circuits
State Diagram Example Sequential Circuits

State Diagram Example Sequential Circuits Combinational circuits output is simply dependent on the current input sequential circuits output may depend on the input sequence the effect of the input sequence can be memorized as a state of the system so a sequential circuit is also called a state machine memory elements (usually d flop flips) are used to store the state. The state diagram is a graphical representation of a sequential circuit in which the state are represented by circles and transitions between states shown by arrows. in another words, a state diagram consists of nodes interconnecting directed line segments corresponding to each state of the circuit. q1 xa g(xiq) qi state transition. This is a diagram that is made from circles and arrows and describes visually the operation of our circuit. in mathematic terms, this diagram that describes the operation of our sequential circuit is a finite state machine. Design of synchronous sequential circuits with an example. translation of state transition table into excitation table. the design of sequential circuit starts with verbal specifications of the problem (see figure 1). the next step is to derive the state table of the sequential circuit.

State Diagram Example For Sequential Circuits
State Diagram Example For Sequential Circuits

State Diagram Example For Sequential Circuits This is a diagram that is made from circles and arrows and describes visually the operation of our circuit. in mathematic terms, this diagram that describes the operation of our sequential circuit is a finite state machine. Design of synchronous sequential circuits with an example. translation of state transition table into excitation table. the design of sequential circuit starts with verbal specifications of the problem (see figure 1). the next step is to derive the state table of the sequential circuit.

State Diagram Example For Sequential Circuits
State Diagram Example For Sequential Circuits

State Diagram Example For Sequential Circuits

Comments are closed.