Simplify your online presence. Elevate your brand.

Special Relativity 4 Adding Velocities

Relativity S Speed Limit Adding Velocities Explained Eresources Blog
Relativity S Speed Limit Adding Velocities Explained Eresources Blog

Relativity S Speed Limit Adding Velocities Explained Eresources Blog The special theory of relativity, formulated in 1905 by albert einstein, implies that addition of velocities does not behave in accordance with simple vector addition. With classical velocity addition, velocities add vectorially. relativistic velocity addition describes the velocities of an object moving at a relativistic speed.

Greg S Space Calculations Relativity Adding Velocities
Greg S Space Calculations Relativity Adding Velocities

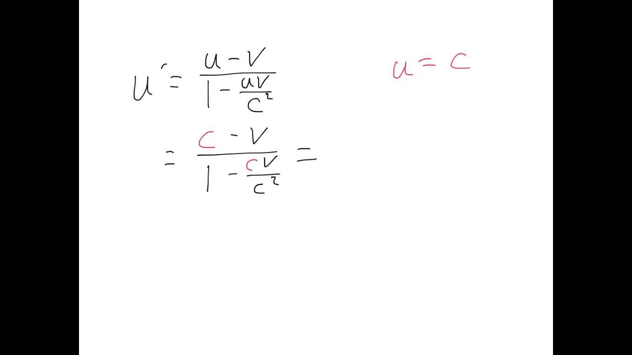
Greg S Space Calculations Relativity Adding Velocities Suppose we have three point sized objects, $a, b, c$, each of which might be moving relative to the others. the usual velocity addition that we are all raised on says "the velocity (vector) of $c$ relative to $a$ equals the velocity of $c$ relative to $b$ plus the velocity of $b$ relative to $a$". The "addition of velocities" formula (more correctly, the "composition of velocities" formula) in special relativity. Adding velocities by einstein's rule keeps all speeds partitioned into three sets: speeds less that that of light; those equal to light and those greater than light. Yes, from the transformation law for the four velocity, we can explicitly derive the transformations of three velocities parallel to and perpendicular to a given boost.

Addition Of Velocities Velocity Composition In Special Relativity
Addition Of Velocities Velocity Composition In Special Relativity

Addition Of Velocities Velocity Composition In Special Relativity Adding velocities by einstein's rule keeps all speeds partitioned into three sets: speeds less that that of light; those equal to light and those greater than light. Yes, from the transformation law for the four velocity, we can explicitly derive the transformations of three velocities parallel to and perpendicular to a given boost. Einstein's velocity addition formula might seem strange at first, but it arises naturally from two core concepts in special relativity: length contraction and time dilation. Explore einstein's special relativity with our free interactive simulator. visualize time dilation, length contraction, velocity addition, simultaneity, e=mc², and spacetime diagrams. perfect for physics students. try it free!. How do you add velocities in special relativity? suppose an object a is moving with a velocity v relative to an object b, and b is moving with a velocity u (in the same direction) relative to an object c. We reconsider velocity addition subtraction in special relativity (sr) and re derive its well known non commutative and non associative algebraic properties in a self contained way, including various explicit expressions for the thomas angle, the derivation of which will be seen to be not as challenging as often suggested.

Addition Of Velocities Velocity Composition In Special Relativity
Addition Of Velocities Velocity Composition In Special Relativity

Addition Of Velocities Velocity Composition In Special Relativity Einstein's velocity addition formula might seem strange at first, but it arises naturally from two core concepts in special relativity: length contraction and time dilation. Explore einstein's special relativity with our free interactive simulator. visualize time dilation, length contraction, velocity addition, simultaneity, e=mc², and spacetime diagrams. perfect for physics students. try it free!. How do you add velocities in special relativity? suppose an object a is moving with a velocity v relative to an object b, and b is moving with a velocity u (in the same direction) relative to an object c. We reconsider velocity addition subtraction in special relativity (sr) and re derive its well known non commutative and non associative algebraic properties in a self contained way, including various explicit expressions for the thomas angle, the derivation of which will be seen to be not as challenging as often suggested.

Addition Of Velocities Velocity Composition In Special Relativity
Addition Of Velocities Velocity Composition In Special Relativity

Addition Of Velocities Velocity Composition In Special Relativity How do you add velocities in special relativity? suppose an object a is moving with a velocity v relative to an object b, and b is moving with a velocity u (in the same direction) relative to an object c. We reconsider velocity addition subtraction in special relativity (sr) and re derive its well known non commutative and non associative algebraic properties in a self contained way, including various explicit expressions for the thomas angle, the derivation of which will be seen to be not as challenging as often suggested.

Special Relativistic Formula For Adding Velocities
Special Relativistic Formula For Adding Velocities

Special Relativistic Formula For Adding Velocities

Comments are closed.