Simplify your online presence. Elevate your brand.

Solving First Order Differential Equation Using Laplace Transform

Solved Solving A Differential Equation Using The Laplace Chegg
Solved Solving A Differential Equation Using The Laplace Chegg

Solved Solving A Differential Equation Using The Laplace Chegg The example presented below demonstrates the finding of solutions to a set of linear first order differential equations, describing a transportation system in regard to reliability, using laplace transforms. One of the typical applications of laplace transforms is the solution of nonhomogeneous linear constant coefficient differential equations. in the following examples we will show how this works.

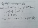
Laplace Transform Solving Differential Equation Sumant S 1 Page Of Math
Laplace Transform Solving Differential Equation Sumant S 1 Page Of Math

Laplace Transform Solving Differential Equation Sumant S 1 Page Of Math Description: transform each term in the linear differential equation to create an algebra problem. you can transform the algebra solution back to the ode solution. Learn to use laplace transforms to solve differential equations is presented along with detailed solutions. detailed explanations and steps are also included. In this lesson, we’ll explore how to solve first order differential equations using the laplace transform method. Enter your differential equation and initial conditions to see each step, from applying the laplace transform to inverting the solution back into the time domain.

Solving Differential Equations Using Laplace Transform Solutions Dummies
Solving Differential Equations Using Laplace Transform Solutions Dummies

Solving Differential Equations Using Laplace Transform Solutions Dummies In this lesson, we’ll explore how to solve first order differential equations using the laplace transform method. Enter your differential equation and initial conditions to see each step, from applying the laplace transform to inverting the solution back into the time domain. The laplace transform method from sections 5.2 and 5.3: applying the laplace transform to the ivp y00 ay0 by = f(t) with initial conditions y(0) = y0, y0(0) = y1 leads to an algebraic equation for y = lfyg, where y(t) is the solution of the ivp. In this section we employ the laplace transform to solve constant coefficient ordinary differential equations. in particular we shall consider initial value problems. we shall find that the initial conditions are automatically included as part of the solution process. This kind of laplace transform initial value problem calculator is useful in maths, engineering, control topics, and differential equations courses. it supports common classroom patterns without adding visual clutter. In this section we will examine how to use laplace transforms to solve ivp’s. the examples in this section are restricted to differential equations that could be solved without using laplace transform.

Comments are closed.