Simplify your online presence. Elevate your brand.

Solving A Simple Kinematics Problem

Kinematics Problem Set Pdf Acceleration Velocity
Kinematics Problem Set Pdf Acceleration Velocity

Kinematics Problem Set Pdf Acceleration Velocity These problems allow any student of physics to test their understanding of the use of the four kinematic equations to solve problems involving the one dimensional motion of objects. you are encouraged to read each problem and practice the use of the strategy in the solution of the problem. On this page i put together a collection of kinematics problems to help you understand kinematics better. the required equations and background reading to solve these problems is given on the kinematics page.

Kinematics Practice Problem Set Pdf
Kinematics Practice Problem Set Pdf

Kinematics Practice Problem Set Pdf The equations of 1d kinematics are very useful in many situations. while they may seem minimal and straightforward at first glance, a surprising amount of subtlety belies these equations. and the number of physical scenarios to which they can be applied is vast. Apply problem solving steps and strategies to solve problems of one dimensional kinematics. apply strategies to determine whether or not the result of a problem is reasonable, and if not, determine the cause. Step one identify exactly what needs to be determined in the problem (identify the unknowns). step two find an equation or set of equations that can help you solve the problem. step three substitute the knowns along with their units into the appropriate equation, and obtain numerical solutions complete with units. Solve kinematics problems involving motion, velocity, and acceleration with step by step physics 1 solutions.

1d Kinematics Problem Set Solutions Pdf
1d Kinematics Problem Set Solutions Pdf

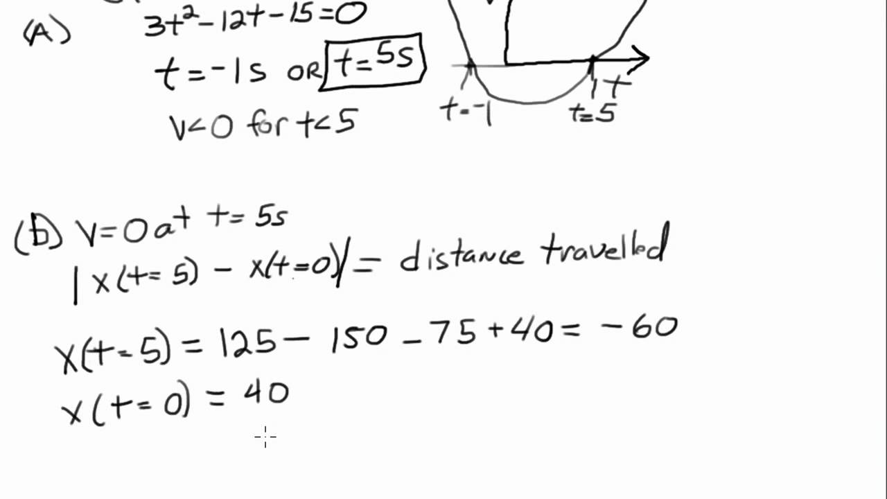
1d Kinematics Problem Set Solutions Pdf Step one identify exactly what needs to be determined in the problem (identify the unknowns). step two find an equation or set of equations that can help you solve the problem. step three substitute the knowns along with their units into the appropriate equation, and obtain numerical solutions complete with units. Solve kinematics problems involving motion, velocity, and acceleration with step by step physics 1 solutions. 1. (easy) how fast will an object (in motion along the x axis) be moving at t = 10 s if it had a speed of 2 m s at t = 0 and a constant acceleration of 2 m s2?. (b) how far did the car travel during this time interval? solution: this is the simplest kinematics problem, so we put a bit more time to solve it in detail. step 1: because all these problems are in one dimension, so draw a directed horizontal axis (like the positive xx axis), and put the object on it, so that it moves in the correct direction. This problem can be solved by a straight forward application of equation 4 to find Δt and equation 5 to find Δx. the student should demonstrate that the correct answers are Δt=9 s and Δx=405 ft. To illustrate use of limits, i will solve this three different ways. this method gives the same solution, but also gives us a formula for the sled’s velocity at all times.

Kinematics Problem Solving I
Kinematics Problem Solving I

Kinematics Problem Solving I 1. (easy) how fast will an object (in motion along the x axis) be moving at t = 10 s if it had a speed of 2 m s at t = 0 and a constant acceleration of 2 m s2?. (b) how far did the car travel during this time interval? solution: this is the simplest kinematics problem, so we put a bit more time to solve it in detail. step 1: because all these problems are in one dimension, so draw a directed horizontal axis (like the positive xx axis), and put the object on it, so that it moves in the correct direction. This problem can be solved by a straight forward application of equation 4 to find Δt and equation 5 to find Δx. the student should demonstrate that the correct answers are Δt=9 s and Δx=405 ft. To illustrate use of limits, i will solve this three different ways. this method gives the same solution, but also gives us a formula for the sled’s velocity at all times.

Simplifying Any 1d Kinematics Problem Petiole Learning
Simplifying Any 1d Kinematics Problem Petiole Learning

Simplifying Any 1d Kinematics Problem Petiole Learning This problem can be solved by a straight forward application of equation 4 to find Δt and equation 5 to find Δx. the student should demonstrate that the correct answers are Δt=9 s and Δx=405 ft. To illustrate use of limits, i will solve this three different ways. this method gives the same solution, but also gives us a formula for the sled’s velocity at all times.

Comments are closed.