Simplify your online presence. Elevate your brand.

Solved Solve The Second Order Diff Eq Using Laplace Chegg

Solved Solve The Second Order Diff Eq Using Laplace Chegg
Solved Solve The Second Order Diff Eq Using Laplace Chegg

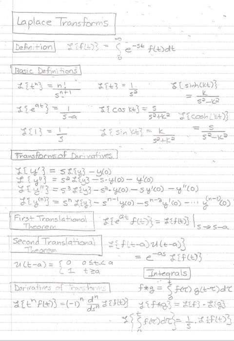
Solved Solve The Second Order Diff Eq Using Laplace Chegg Solve the second order diff eq using laplace transform. there are 3 steps to solve this one. the given second order differ not the question you’re looking for? post any question and get expert help quickly. Learn to use laplace transforms to solve differential equations is presented along with detailed solutions. detailed explanations and steps are also included.

Solved Diff Eq Please Show Detailed Work And Solve The Chegg
Solved Diff Eq Please Show Detailed Work And Solve The Chegg

Solved Diff Eq Please Show Detailed Work And Solve The Chegg In this guide, we will explore what second order differential equations are, how to solve them by hand, and how symbolab’s second order differential equations calculator can help you learn more deeply. Our expert help has broken down your problem into an easy to learn solution you can count on. there are 2 steps to solve this one. the second order ordinary differential equation (ode) using the laplace transform, we'll follow the. Math advanced math advanced math questions and answers solve the following second order diff eq using laplace trasnform y'' 5y' 4y=2e 2t,y (0)=0,y' (0)=0 use convlution theorem. Our expert help has broken down your problem into an easy to learn solution you can count on. here’s the best way to solve it. (c) solve the following second order ordinary differential equation (ode) using laplace transform: y (t) 5y (1) 6y (t) = 4t given that y (0) = 0 and y (0) = 0 (12 marks] not the question you’re looking for?.

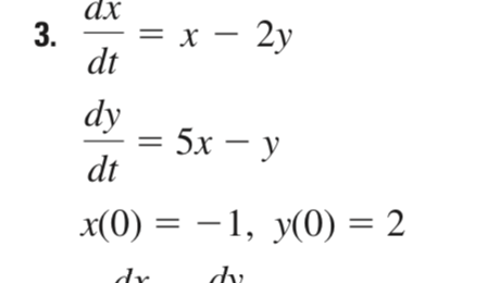
Solved Use A Laplace Transform To Solve The System Of Diff Chegg
Solved Use A Laplace Transform To Solve The System Of Diff Chegg

Solved Use A Laplace Transform To Solve The System Of Diff Chegg Math advanced math advanced math questions and answers solve the following second order diff eq using laplace trasnform y'' 5y' 4y=2e 2t,y (0)=0,y' (0)=0 use convlution theorem. Our expert help has broken down your problem into an easy to learn solution you can count on. here’s the best way to solve it. (c) solve the following second order ordinary differential equation (ode) using laplace transform: y (t) 5y (1) 6y (t) = 4t given that y (0) = 0 and y (0) = 0 (12 marks] not the question you’re looking for?. Our expert help has broken down your problem into an easy to learn solution you can count on. question: solve the following second order differential equations using laplace transform. 3. Consider the following second order, ordinary differential equation, and its initial conditions. One of the typical applications of laplace transforms is the solution of nonhomogeneous linear constant coefficient differential equations. in the following examples we will show how this works. This video demonstrates how to solve a second order differential equation using the laplace transform, applying initial conditions to the equation.

Solved Solve The Differential Eq Using Laplace Transform Chegg
Solved Solve The Differential Eq Using Laplace Transform Chegg

Solved Solve The Differential Eq Using Laplace Transform Chegg Our expert help has broken down your problem into an easy to learn solution you can count on. question: solve the following second order differential equations using laplace transform. 3. Consider the following second order, ordinary differential equation, and its initial conditions. One of the typical applications of laplace transforms is the solution of nonhomogeneous linear constant coefficient differential equations. in the following examples we will show how this works. This video demonstrates how to solve a second order differential equation using the laplace transform, applying initial conditions to the equation.

Solved Solve The Following Second Order Differential Chegg
Solved Solve The Following Second Order Differential Chegg

Solved Solve The Following Second Order Differential Chegg One of the typical applications of laplace transforms is the solution of nonhomogeneous linear constant coefficient differential equations. in the following examples we will show how this works. This video demonstrates how to solve a second order differential equation using the laplace transform, applying initial conditions to the equation.

Solved Using Laplace Transforms Solve The Second Order Chegg
Solved Using Laplace Transforms Solve The Second Order Chegg

Solved Using Laplace Transforms Solve The Second Order Chegg

Comments are closed.