Simplify your online presence. Elevate your brand.

Solved Solve Problem With Matlab Using A Rectangular Window Chegg

Solved Solve Problem With Matlab Using A Rectangular Window Chegg
Solved Solve Problem With Matlab Using A Rectangular Window Chegg

Solved Solve Problem With Matlab Using A Rectangular Window Chegg Design an fir linear phase, digital filter approximating the ideal frequency response h d (omega) = {1, fpr |omega| lessthanorequalto pi 6 0, for pi 6 < |omega| lessthanorequalto pi (a) determine the coefficients of a 25 tap filter based on the window method with a rectangular window. Rectangular window create a 64 point rectangular window. display the result using wvtool.

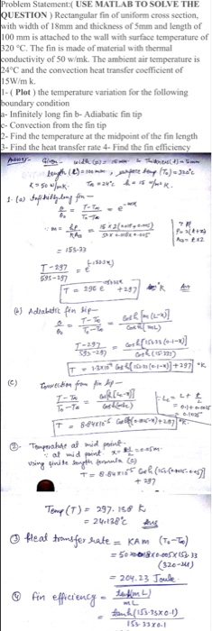
Solved Problem Statement Use Matlab To Solve The Question Chegg
Solved Problem Statement Use Matlab To Solve The Question Chegg

Solved Problem Statement Use Matlab To Solve The Question Chegg There is usually nothing you have to "do" to use a rectangular window on a signal, because you're just multiplying by ones, but it's good practice to specify it in your code using something like "rectwin (n)" to remind any readers that the default has an effect on the signal output. Here is the code for generating the triangular windows, computing the dtfts, plotting the magnitude responses on a db scale, determining the main lobe widths, and measuring the height of the first sidelobes for lengths 15, 31, and 51: ```matlab tri window = triang (15); dtft tri window = fft (tri window); tri window 31 = triang (31); dtft tri. Repeat problem 2.1 with an equiripple filter using the "remez" function in matlab. plot the two frequency responses and compare the two filters in terms of performance and complexity. Master the fir filter design process using the rectangular window method with this in depth, step by step solved problem! this comprehensive tutorial is essential for students and engineers.

Solved A A Rectangular Window Can Be Generated In Matlab Chegg
Solved A A Rectangular Window Can Be Generated In Matlab Chegg

Solved A A Rectangular Window Can Be Generated In Matlab Chegg Repeat problem 2.1 with an equiripple filter using the "remez" function in matlab. plot the two frequency responses and compare the two filters in terms of performance and complexity. Master the fir filter design process using the rectangular window method with this in depth, step by step solved problem! this comprehensive tutorial is essential for students and engineers. It includes matlab code for creating rectangular and hamming window functions, calculating ideal impulse responses, and estimating filter orders using the kaiser formula.

Solved Problem Statement Use Matlab To Solve The Question Chegg
Solved Problem Statement Use Matlab To Solve The Question Chegg

Solved Problem Statement Use Matlab To Solve The Question Chegg It includes matlab code for creating rectangular and hamming window functions, calculating ideal impulse responses, and estimating filter orders using the kaiser formula.

Comments are closed.