Simplify your online presence. Elevate your brand.

Solved Practice With Induction O 1 8 2 Prove The Chegg

Solved Practice With Induction O 1 8 2 Prove The Chegg
Solved Practice With Induction O 1 8 2 Prove The Chegg

Solved Practice With Induction O 1 8 2 Prove The Chegg What do you need to prove in the inductive step? . complete the inductive step. 2. prove that 1 3 5 (2n 1) = n2 for every positive. your solution’s ready to go! our expert help has broken down your problem into an easy to learn solution you can count on. Learn the principle of mathematical induction through carefully explained problems and step by step solutions. includes classic summation formulas, inequalities, factorials, and de moivre s theorem.

Solved Induction Problemsprove By Induction That Chegg
Solved Induction Problemsprove By Induction That Chegg

Solved Induction Problemsprove By Induction That Chegg To verify this, we only need substitute n = 0, obtaining 2.0 1 < 2°, to verify one case and then finish the following problem using mathematical induction with basis step n = 3. The principle of mathematical induction involves first proving the base case for n=1 or some other value, and then assuming the statement holds for some value k and proving it holds for k 1. Step by step solutions for proofs: mathematical induction, trigonometric identities and series convergence. Practice mathematical induction with detailed solutions. covers proofs for sums, divisibility, and de moivre's theorem.

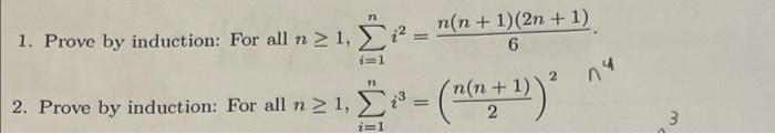
Solved 1 Prove By Induction For All Chegg
Solved 1 Prove By Induction For All Chegg

Solved 1 Prove By Induction For All Chegg Step by step solutions for proofs: mathematical induction, trigonometric identities and series convergence. Practice mathematical induction with detailed solutions. covers proofs for sums, divisibility, and de moivre's theorem. Verify that the statement is true for n = k 1 whenever it is true for n = k, where k is a positive integer. this means that we need to prove that p (k 1) is true whenever p (k) is true. Once you ignore that term, the rest of the subset must be a subset of fa1; a2; : : : ; akg, so by the induction hypothesis there are 2k of these. therefore, the number of subsets of a is jt j juj = 2k 2k = 2k 1, which is what we wanted to prove. So, if n 2 n is even, then 3n 2 3n is divisible by both 2 and 3, and we are done. to show that n 2 n is even, we consider two cases: either n is even or n is odd. Unlock the power of mathematical induction: prove statements true for all natural numbers with precision and proofs with solved examples.

Solved 1 2 Prove By Math Induction в I 0n1 N 1 2 2 Chegg
Solved 1 2 Prove By Math Induction в I 0n1 N 1 2 2 Chegg

Solved 1 2 Prove By Math Induction в I 0n1 N 1 2 2 Chegg Verify that the statement is true for n = k 1 whenever it is true for n = k, where k is a positive integer. this means that we need to prove that p (k 1) is true whenever p (k) is true. Once you ignore that term, the rest of the subset must be a subset of fa1; a2; : : : ; akg, so by the induction hypothesis there are 2k of these. therefore, the number of subsets of a is jt j juj = 2k 2k = 2k 1, which is what we wanted to prove. So, if n 2 n is even, then 3n 2 3n is divisible by both 2 and 3, and we are done. to show that n 2 n is even, we consider two cases: either n is even or n is odd. Unlock the power of mathematical induction: prove statements true for all natural numbers with precision and proofs with solved examples.

Solved 3 Prove By Induction That For All N In Chegg
Solved 3 Prove By Induction That For All N In Chegg

Solved 3 Prove By Induction That For All N In Chegg So, if n 2 n is even, then 3n 2 3n is divisible by both 2 and 3, and we are done. to show that n 2 n is even, we consider two cases: either n is even or n is odd. Unlock the power of mathematical induction: prove statements true for all natural numbers with precision and proofs with solved examples.

Comments are closed.