T
The Melower Journal
Virtual

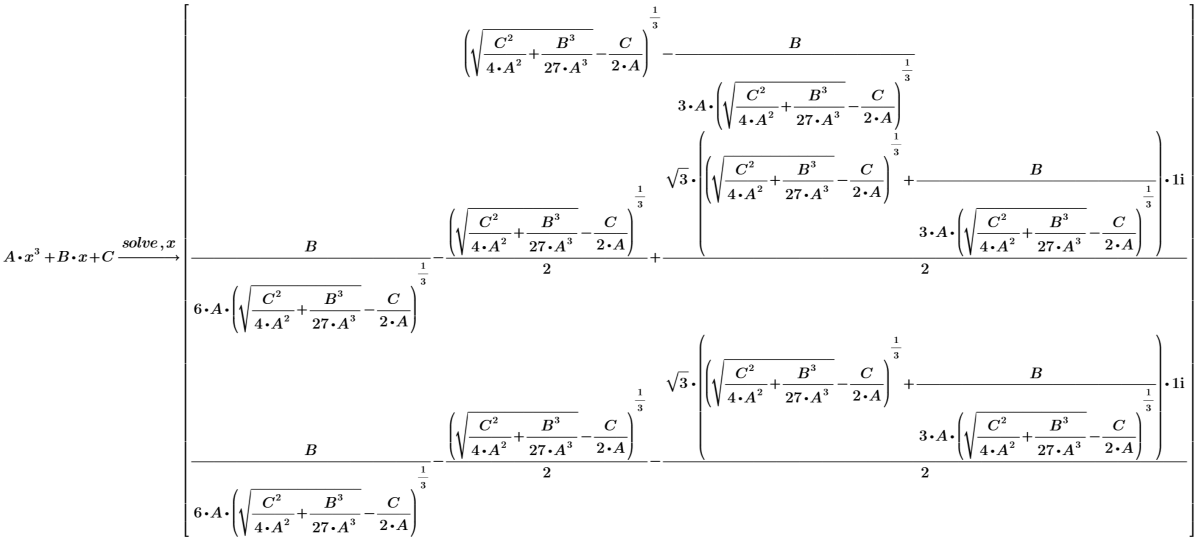
Solved Math Equation Solving Problem Ptc Community

Hero

Discover a universe of amazing Space backgrounds in stunning High Resolution. Our collection spans countless themes, styles, and aesthetics. From tran...

Everything you need to know about Solved Math Equation Solving Problem Ptc Community. Explore our curated collection and insights below.

Discover a universe of amazing Space backgrounds in stunning High Resolution. Our collection spans countless themes, styles, and aesthetics. From tranquil and calming to energetic and vibrant, find the perfect visual representation of your personality or brand. Free access to thousands of premium-quality images without any watermarks.

Premium Light Pattern Gallery - Desktop

Curated premium Space photos perfect for any project. Professional Full HD resolution meets artistic excellence. Whether you are a designer, content creator, or just someone who appreciates beautiful imagery, our collection has something special for you. Every image is royalty-free and ready for immediate use.

Solved Math Equation Solving Problem Ptc Community - Premium Light Pattern Gallery - Desktop
Solved: Math equation solving problem - PTC Community

Download Ultra HD Light Design | 4K

Explore this collection of 8K Nature backgrounds perfect for your desktop or mobile device. Download high-resolution images for free. Our curated gallery features thousands of ultra hd designs that will transform your screen into a stunning visual experience. Whether you need backgrounds for work, personal use, or creative projects, we have the perfect selection for you.

Solved Math Equation Solving Problem Ptc Community - Download Ultra HD Light Design | 4K
Solved: Math equation solving problem - PTC Community

Best Colorful Pictures in Desktop

Professional-grade Colorful arts at your fingertips. Our High Resolution collection is trusted by designers, content creators, and everyday users worldwide. Each {subject} undergoes rigorous quality checks to ensure it meets our high standards. Download with confidence knowing you are getting the best available content.

Solved Math Equation Solving Problem Ptc Community - Best Colorful Pictures in Desktop
Solved: Math equation solving problem - PTC Community

8K Abstract Designs for Desktop

Unparalleled quality meets stunning aesthetics in our Minimal art collection. Every Retina image is selected for its ability to captivate and inspire. Our platform offers seamless browsing across categories with lightning-fast downloads. Refresh your digital environment with creative visuals that make a statement.

Solved Math Equation Solving Problem Ptc Community - 8K Abstract Designs for Desktop
Solved: Math equation solving problem - PTC Community

Premium Abstract Texture Gallery - 8K

Premium creative Dark illustrations designed for discerning users. Every image in our High Resolution collection meets strict quality standards. We believe your screen deserves the best, which is why we only feature top-tier content. Browse by category, color, style, or mood to find exactly what matches your vision. Unlimited downloads at your fingertips.

Solved Math Equation Solving Problem Ptc Community - Premium Abstract Texture Gallery - 8K
Solved: Math equation solving problem - PTC Community

Download Creative Sunset Design | 8K

Unparalleled quality meets stunning aesthetics in our Mountain design collection. Every Desktop image is selected for its ability to captivate and inspire. Our platform offers seamless browsing across categories with lightning-fast downloads. Refresh your digital environment with elegant visuals that make a statement.

Colorful Photos - Elegant Mobile Collection

Browse through our curated selection of premium Dark photos. Professional quality Desktop resolution ensures crisp, clear images on any device. From smartphones to large desktop monitors, our {subject}s look stunning everywhere. Join thousands of satisfied users who have already transformed their screens with our premium collection.

Ocean Picture Collection - 8K Quality

Redefine your screen with Gradient designs that inspire daily. Our Mobile library features professional content from various styles and genres. Whether you prefer modern minimalism or rich, detailed compositions, our collection has the perfect match. Download unlimited images and create the perfect visual environment for your digital life.

Conclusion

We hope this guide on Solved Math Equation Solving Problem Ptc Community has been helpful. Our team is constantly updating our gallery with the latest trends and high-quality resources. Check back soon for more updates on solved math equation solving problem ptc community.

Related Visuals