Simplify your online presence. Elevate your brand.

Solved Examples Applying Laplace Transform Chegg

Solved Examples Applying Laplace Transform Chegg
Solved Examples Applying Laplace Transform Chegg

Solved Examples Applying Laplace Transform Chegg Laplace transforms are often used to solve differential equations. differential equations are not covered in detail until later in this book; but, for now, let's look at the relationship between the laplace transform of a function and the laplace transform of its derivative. This document presents a collection of solved problems and exercises utilizing laplace transforms, an essential mathematical tool for simplifying the process of solving linear constant coefficient differential equations.

Solved By Applying Laplace Transform Find The Solutionof Chegg
Solved By Applying Laplace Transform Find The Solutionof Chegg

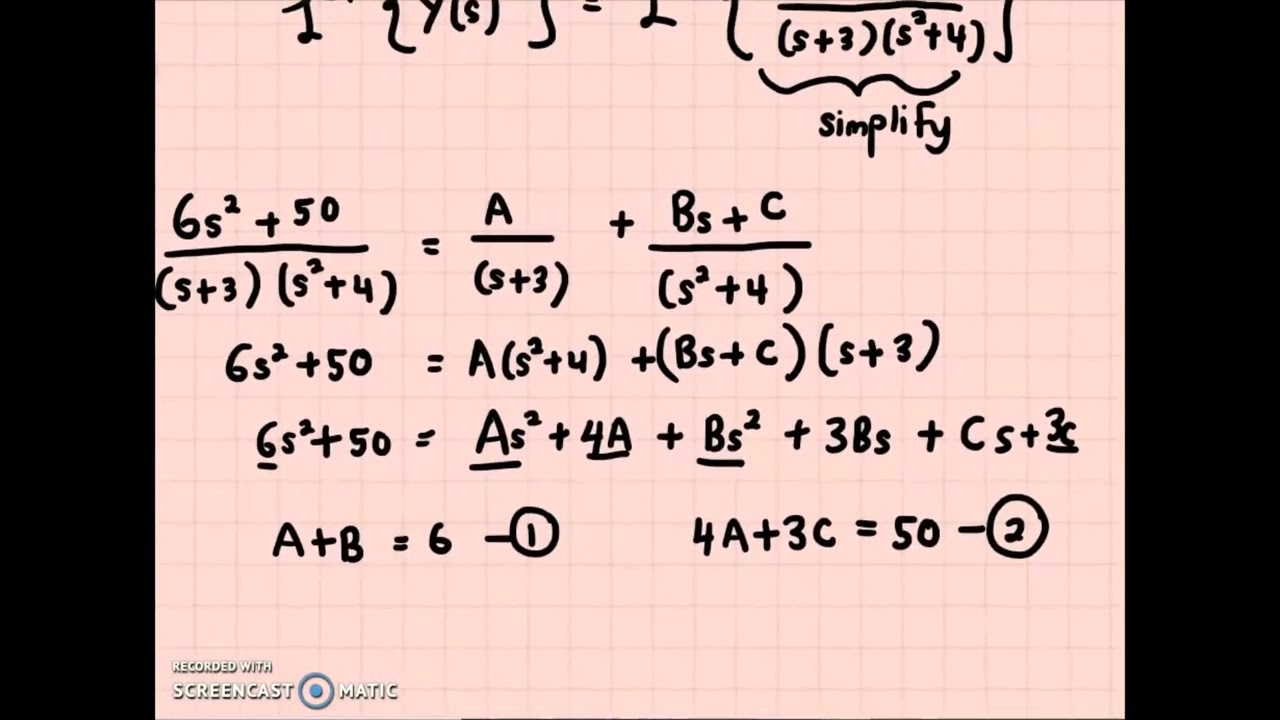
Solved By Applying Laplace Transform Find The Solutionof Chegg In this article on laplace transforms, we will learn about what laplace transforms is, the types of laplace transforms, the operations of laplace transforms, and many more in detail. Examples on how to compute laplace transforms are presented along with detailed solutions. detailed explanations and steps are also included. Laplace transform problems and solutions 1. the laplace transform of a function f(t) is defined as the integral from 0 to infinity of e^ st f(t) dt, where s is a parameter that can be real or complex. the first shifting theorem states that l{eatf(t)} = f(s a) and l{e atf(t)} = f(s a). this can be used to find transforms involving uploaded by. Oftentimes, we must take the inverse laplace transform of a signal or transfer function that happens to be ratio of polynomials. in such cases, there are no pre determined results in a table to help us, so we must apply partial fraction expansion to find the solution.

Solved Determine The Laplace Transform Of The Chegg
Solved Determine The Laplace Transform Of The Chegg

Solved Determine The Laplace Transform Of The Chegg Laplace transform problems and solutions 1. the laplace transform of a function f(t) is defined as the integral from 0 to infinity of e^ st f(t) dt, where s is a parameter that can be real or complex. the first shifting theorem states that l{eatf(t)} = f(s a) and l{e atf(t)} = f(s a). this can be used to find transforms involving uploaded by. Oftentimes, we must take the inverse laplace transform of a signal or transfer function that happens to be ratio of polynomials. in such cases, there are no pre determined results in a table to help us, so we must apply partial fraction expansion to find the solution. One of the typical applications of laplace transforms is the solution of nonhomogeneous linear constant coefficient differential equations. in the following examples we will show how this works. Laplace equation: dirichlet problem for disk interior: i goal: solve the laplace equation uxx uyy = 0 on the disk fx2 y2 < a2g subject to dirichlet boundary conditions. By using laplace transforms, or otherwise, solve the following simultaneous differential equations, subject to the initial conditions x = − 1 , y = 2 at t = 0 . Laplace transform is an essential tool for the study of linear time invariant systems. in this handout a collection of solved examples and exercises are provided. they are grouped into two parts: background material and laplace transform.

Please Write The Process Of Applying Laplace Chegg
Please Write The Process Of Applying Laplace Chegg

Please Write The Process Of Applying Laplace Chegg One of the typical applications of laplace transforms is the solution of nonhomogeneous linear constant coefficient differential equations. in the following examples we will show how this works. Laplace equation: dirichlet problem for disk interior: i goal: solve the laplace equation uxx uyy = 0 on the disk fx2 y2 < a2g subject to dirichlet boundary conditions. By using laplace transforms, or otherwise, solve the following simultaneous differential equations, subject to the initial conditions x = − 1 , y = 2 at t = 0 . Laplace transform is an essential tool for the study of linear time invariant systems. in this handout a collection of solved examples and exercises are provided. they are grouped into two parts: background material and laplace transform.

Solved 12 4 Determine The Laplace Transform Of Each Of The Chegg
Solved 12 4 Determine The Laplace Transform Of Each Of The Chegg

Solved 12 4 Determine The Laplace Transform Of Each Of The Chegg By using laplace transforms, or otherwise, solve the following simultaneous differential equations, subject to the initial conditions x = − 1 , y = 2 at t = 0 . Laplace transform is an essential tool for the study of linear time invariant systems. in this handout a collection of solved examples and exercises are provided. they are grouped into two parts: background material and laplace transform.

Solved Please Use Laplace Transform To Solve It Chegg
Solved Please Use Laplace Transform To Solve It Chegg

Solved Please Use Laplace Transform To Solve It Chegg

Comments are closed.