Simplify your online presence. Elevate your brand.

Solution Chapter 5 Gas Exercise Studypool

Ideal Gas Exercise Qp Pdf Gases Temperature
Ideal Gas Exercise Qp Pdf Gases Temperature

Ideal Gas Exercise Qp Pdf Gases Temperature Sulfur hexafluoride is a gas used as a long term plug for a retinal hole to repair detached retinas in the eye. if 2.50 g of this compound is introduced into an evacuated 500 ml container at 83 c, what pressure in atmosphere is developed?. This worksheet on cbse class 8 science chapter 5 – coal and petroleum helps students understand natural resources and their importance in daily life. it covers topics such as fossil fuels, formation of coal and petroleum, natural gas, refining processes, and the need for conservation. the exercise includes multiple choice, short answer, and reasoning based questions to test conceptual.

5 Gas Pdf
5 Gas Pdf

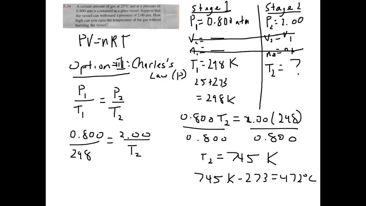
5 Gas Pdf 5.26 this is a gas stoichiometry problem that requires knowledge of avogadro’s law to solve. avogadro’s law states that the volume of a gas is directly proportional to the number of moles of gas at constant temperature and pressure. Chapter 5 gases hw questions free download as word doc (.doc), pdf file (.pdf), text file (.txt) or read online for free. Solution: because no changes in gas properties occur, we can use the ideal gas equation to calculate the pressure. rearranging equation (5) of the text, we write:. Now predict what will happen to the pressure of an inflated balloon for which you double the number of moles of gas but do not allow the t or v of the balloon to change.

Oil And Gas Module 5 Pdf
Oil And Gas Module 5 Pdf

Oil And Gas Module 5 Pdf Solution: because no changes in gas properties occur, we can use the ideal gas equation to calculate the pressure. rearranging equation (5) of the text, we write:. Now predict what will happen to the pressure of an inflated balloon for which you double the number of moles of gas but do not allow the t or v of the balloon to change. The pressure of a gas is measured as 2.5 atm. represent a decrease in temperature was followed by a decrease in the pressure and volume of the gas in. Respond to one viewing reading source (200 words minimum) and then to at least two other student posts (15 points 5 pts 5 pts). at least 300 words total are expected (add word count). Compare the dsm 5 tr diagnostic criteria for each differential diagnosis and explain what dsm 5 tr criteria rules out the differential diagnosis to find an accurate diagnosis. Chapter 5 contains a series of gas law problems, including calculations for grams of gases at stp, volume occupied by gases under specific conditions, and determining molecular formulas from empirical data.

Solved Chapter 5 Practice Questions 1 Which Noble Gas Will Chegg
Solved Chapter 5 Practice Questions 1 Which Noble Gas Will Chegg

Solved Chapter 5 Practice Questions 1 Which Noble Gas Will Chegg The pressure of a gas is measured as 2.5 atm. represent a decrease in temperature was followed by a decrease in the pressure and volume of the gas in. Respond to one viewing reading source (200 words minimum) and then to at least two other student posts (15 points 5 pts 5 pts). at least 300 words total are expected (add word count). Compare the dsm 5 tr diagnostic criteria for each differential diagnosis and explain what dsm 5 tr criteria rules out the differential diagnosis to find an accurate diagnosis. Chapter 5 contains a series of gas law problems, including calculations for grams of gases at stp, volume occupied by gases under specific conditions, and determining molecular formulas from empirical data.

Comments are closed.