Simplify your online presence. Elevate your brand.

Solution Bernoulli Equation Studypool

Solution Ways To Express Bernoulli Equation Studypool
Solution Ways To Express Bernoulli Equation Studypool

Solution Ways To Express Bernoulli Equation Studypool Stuck on a study question? our verified tutors can answer all questions, from basic math to advanced rocket science! decimals are a different way of representing fractions. in fact, each place value of a decimal represents a different frac decimals are a different way of representing fractions. Use the solutions intelligently. for example, they can help you get started on an exercise, or they can allow you to check whether your intermediate results are correct.

Solution Bernoulli S Equation Studypool
Solution Bernoulli S Equation Studypool

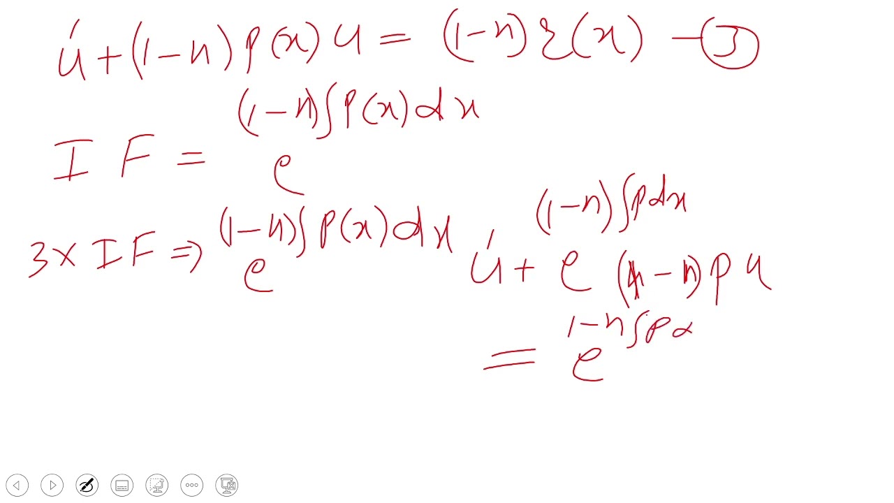
Solution Bernoulli S Equation Studypool Bernoulli ode solver solve bernoulli differential equations y' p (x)y = q (x)yⁿ step by step. applies the v = y^ (1 n) substitution to linearize, builds the integrating factor, finds the closed form solution, and plots the particular solution curve against the slope field. The general form of bernoulli’s equation has three terms in it, and it is broadly applicable. to understand it better, let us consider some specific situations that simplify and illustrate its use and meaning. This document contains practice problems and solutions for applying bernoulli's equation to fluid flow situations. problem 1 considers the maximum pressure on a person's hand sticking out of a moving car window. This paper presents a series of practice problems focused on bernoulli's equation, designed to enhance understanding of fluid dynamics in various applications.

Solution Lecture 15 Bernoulli Equation Studypool
Solution Lecture 15 Bernoulli Equation Studypool

Solution Lecture 15 Bernoulli Equation Studypool This document contains practice problems and solutions for applying bernoulli's equation to fluid flow situations. problem 1 considers the maximum pressure on a person's hand sticking out of a moving car window. This paper presents a series of practice problems focused on bernoulli's equation, designed to enhance understanding of fluid dynamics in various applications. The general form of bernoulli’s equation has three terms in it, and it is broadly applicable. to understand it better, we will look at a number of specific situations that simplify and illustrate its use and meaning. The use of the bernoulli equation may be seen throughout hydraulic mechanics. this article presents the bernoulli equation application examples based on the premise of bernoulli’s equation. Consider the flow in the discharge of water through a long pipe connected to a big reservoir. if the area of the tank is much larger than the pipe cross section area (i.e. a >> a ) then the 1 2 solution for steady state case, in which the discharge valve has been open for a while, can be easily done by writing bernoulli between points 1 and 2 :. Discover the bernoulli differential equation, a key topic in calculus and differential equations. learn about its applications, solutions, and related concepts like separable equations and initial value problems.

Solution Fluid Mechanics Bernoulli Equation Applications 1 Studypool
Solution Fluid Mechanics Bernoulli Equation Applications 1 Studypool

Solution Fluid Mechanics Bernoulli Equation Applications 1 Studypool The general form of bernoulli’s equation has three terms in it, and it is broadly applicable. to understand it better, we will look at a number of specific situations that simplify and illustrate its use and meaning. The use of the bernoulli equation may be seen throughout hydraulic mechanics. this article presents the bernoulli equation application examples based on the premise of bernoulli’s equation. Consider the flow in the discharge of water through a long pipe connected to a big reservoir. if the area of the tank is much larger than the pipe cross section area (i.e. a >> a ) then the 1 2 solution for steady state case, in which the discharge valve has been open for a while, can be easily done by writing bernoulli between points 1 and 2 :. Discover the bernoulli differential equation, a key topic in calculus and differential equations. learn about its applications, solutions, and related concepts like separable equations and initial value problems.

Comments are closed.