Simplify your online presence. Elevate your brand.

Solution Applications Theoreme De Gauss 1 Studypool

Unit 1 Gauss Law And Applications Pdf
Unit 1 Gauss Law And Applications Pdf

Unit 1 Gauss Law And Applications Pdf On donne v (1)=0 2 tracer les lignes du champ et les équipotentielles. (la surface de gauss pour un fil rectiligne est un cylindre fermé avec le fil au centre). Le choix d’une surface de gauss cylindrique sert à bien visualiser la surface choisie, mais n’est pas une obligation. il sufit que la surface retenue ait bien deux portions planes en z = ±zm pour que le raisonnement ci dessous s’applique.

Solution Applications Theoreme De Gauss 1 Studypool
Solution Applications Theoreme De Gauss 1 Studypool

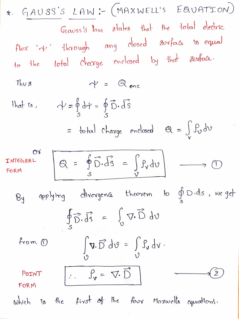
Solution Applications Theoreme De Gauss 1 Studypool Cours complet d'électrostatique avec exercices corrigés, couvrant les charges, champs, potentiels, théorème de gauss, dipôles et conducteurs. Le théorème de gauss établit une relation entre le flux du champ électrique à travers une surface fermée et la charge à l'intérieur de cette surface. cette relation a les propriétés suivantes :. Situations classiques d’application du théorème de gauss : dans chacun des trois cas, étudier les symétries ~e m pour donner la direction du vecteur au point ~e et le tracer, étudier les invariances pour donner les. 1. identifier les invariances. en déduire le système de coordonnées à utiliser et de quoi dépend lepotentiel électrique v . utiliser la formule du gradient dans le système de coordonnées utilisé.

Solution Applications Of Gauss Theorem Studypool
Solution Applications Of Gauss Theorem Studypool

Solution Applications Of Gauss Theorem Studypool Situations classiques d’application du théorème de gauss : dans chacun des trois cas, étudier les symétries ~e m pour donner la direction du vecteur au point ~e et le tracer, étudier les invariances pour donner les. 1. identifier les invariances. en déduire le système de coordonnées à utiliser et de quoi dépend lepotentiel électrique v . utiliser la formule du gradient dans le système de coordonnées utilisé. 1. le choix du système des coordonnées. 2. Étude des invariances et symétries que le problème présente. 3. le choix de la surface de gauss. 4. détermination de la charge intérieure qint . 5. associer le module e trouvé à sa direction portée par un vecteur unitaire. Déterminer les variables de dépendance et la direction du champ électrostatique⃗𝑬 (𝑴), créé par cette boule, en tout point m de l’espace. le système le plus adéquat est le système de coordonnées sphériques (o,𝑒𝑟 , 𝑒𝜃 , 𝑒𝜑 ). Having practical application will clarify some of the theory which we learn through coursework. the acquisitions department incorporates their contracting teams subordinate to the department head, who is also the department’s head of contracting activity. As discussed in topic 1, effective leaders apply various leadership tactics depending upon the contexts in which they find themselves. consider the leadership tactics, traits, or models you find yourself drawn to as a leader.

Solution Applications Of Gauss S Law Studypool
Solution Applications Of Gauss S Law Studypool

Solution Applications Of Gauss S Law Studypool 1. le choix du système des coordonnées. 2. Étude des invariances et symétries que le problème présente. 3. le choix de la surface de gauss. 4. détermination de la charge intérieure qint . 5. associer le module e trouvé à sa direction portée par un vecteur unitaire. Déterminer les variables de dépendance et la direction du champ électrostatique⃗𝑬 (𝑴), créé par cette boule, en tout point m de l’espace. le système le plus adéquat est le système de coordonnées sphériques (o,𝑒𝑟 , 𝑒𝜃 , 𝑒𝜑 ). Having practical application will clarify some of the theory which we learn through coursework. the acquisitions department incorporates their contracting teams subordinate to the department head, who is also the department’s head of contracting activity. As discussed in topic 1, effective leaders apply various leadership tactics depending upon the contexts in which they find themselves. consider the leadership tactics, traits, or models you find yourself drawn to as a leader.

Leccon 1 Theoreme De Gauss Pdf
Leccon 1 Theoreme De Gauss Pdf

Leccon 1 Theoreme De Gauss Pdf Having practical application will clarify some of the theory which we learn through coursework. the acquisitions department incorporates their contracting teams subordinate to the department head, who is also the department’s head of contracting activity. As discussed in topic 1, effective leaders apply various leadership tactics depending upon the contexts in which they find themselves. consider the leadership tactics, traits, or models you find yourself drawn to as a leader.

Comments are closed.