Simplify your online presence. Elevate your brand.

Soalan Tingkatan 5 Pdf

Soalan Tingkatan 5 Pdf
Soalan Tingkatan 5 Pdf

Soalan Tingkatan 5 Pdf Ujian pertengahan tahun tingkatan 5. pdf download. bahan rujukan, persediaan, ulang kaji, soalan pentaksiran sumatif dan formatif untuk : peperiksaan, ujian, peperiksaan pertengahan tahun. Dokumen ini membincangkan topik ubahan dalam matematik tingkatan 5. ia menyenaraikan soalan soalan berkaitan ubahan langsung, ubahan songsang dan ubahan bergabung.

Soalan Tahun 5 Pdf
Soalan Tahun 5 Pdf

Soalan Tahun 5 Pdf Tulisan ini membincangkan soalan latihan matematik tingkatan 5 dan jawapan yang boleh dimuat turun secara percuma dalam format pdf. bahan ini disusun secara sistematik berdasarkan sukatan pelajaran kssm terkini bagi memastikan pelajar dapat menguasai topik topik penting dengan lebih mudah dan berkesan. Koleksi soalan, latihan, nota, modul tingkatan 5 kssm jawapan. pdf download. bahan rujukan, persediaan, ulang kaji, soalan pentaksiran sumatif dan formatif untuk : peperiksaan, ujian, peperiksaan pertengahan tahun, peperiksaan percubaan spm. Soalan dan latihan ubahan tingkatan 5 dokumen tersebut berisi soalan soalan matematika yang melibatkan hubungan linear antara dua pembolehubah x dan y. kebanyakan soalan meminta menentukan nilai y berdasarkan nilai x yang diberikan atau sebaliknya, dengan diberikan hubungan linear antara x dan y. View flipping ebook version of 1202 bank soalan matematik tingkatan 5 (edisi terbaharu) kssm published by pan asia publications sdn. bhd. on 2024 01 08. interested in flipbooks about 1202 bank soalan matematik tingkatan 5 (edisi terbaharu) kssm?.

Soalan Matematik Tingkatan 5 Soakploaty
Soalan Matematik Tingkatan 5 Soakploaty

Soalan Matematik Tingkatan 5 Soakploaty Soalan dan latihan ubahan tingkatan 5 dokumen tersebut berisi soalan soalan matematika yang melibatkan hubungan linear antara dua pembolehubah x dan y. kebanyakan soalan meminta menentukan nilai y berdasarkan nilai x yang diberikan atau sebaliknya, dengan diberikan hubungan linear antara x dan y. View flipping ebook version of 1202 bank soalan matematik tingkatan 5 (edisi terbaharu) kssm published by pan asia publications sdn. bhd. on 2024 01 08. interested in flipbooks about 1202 bank soalan matematik tingkatan 5 (edisi terbaharu) kssm?. Spm 2026 tingkatan 5 (tahun 2026): soalan, nota, peperiksaan, ujian, bahan rujukan penting semua subjek (a). pdf download. koleksi kertas soalan peperiksaan percubaan, ujian, pertengahan tahun, akhir tahun, ramalan, karangan, novel, buku teks. kbat. kssm. spm, tingkatan 5. bahasa melayu bm, bahasa inggeris, sejarah, matematik, matematik tambahan. Contoh soalan peperiksaan bahasa melayu tingkatan 5 format baharu download as a pdf or view online for free. Latihan matematik tingkatan 5 ringkasan dokumen tersebut adalah: 1) dokumen tersebut memberikan soalan soalan matematika yang berkaitan dengan himpunan, logika, persamaan linear, geometri dan statistik. Dokumen ini membincangkan tentang latihan bahasa melayu tingkatan 5. ia menyenaraikan beberapa soalan yang perlu dijawab berkaitan rumusan, pemahaman umum dan pengetahuan serta kemahiran bahasa.

Soalan Pertengahan Tahun Tingkatan 5 Doc
Soalan Pertengahan Tahun Tingkatan 5 Doc

Soalan Pertengahan Tahun Tingkatan 5 Doc Spm 2026 tingkatan 5 (tahun 2026): soalan, nota, peperiksaan, ujian, bahan rujukan penting semua subjek (a). pdf download. koleksi kertas soalan peperiksaan percubaan, ujian, pertengahan tahun, akhir tahun, ramalan, karangan, novel, buku teks. kbat. kssm. spm, tingkatan 5. bahasa melayu bm, bahasa inggeris, sejarah, matematik, matematik tambahan. Contoh soalan peperiksaan bahasa melayu tingkatan 5 format baharu download as a pdf or view online for free. Latihan matematik tingkatan 5 ringkasan dokumen tersebut adalah: 1) dokumen tersebut memberikan soalan soalan matematika yang berkaitan dengan himpunan, logika, persamaan linear, geometri dan statistik. Dokumen ini membincangkan tentang latihan bahasa melayu tingkatan 5. ia menyenaraikan beberapa soalan yang perlu dijawab berkaitan rumusan, pemahaman umum dan pengetahuan serta kemahiran bahasa.

Soalan Sej Bab1 Tingkatan 5
Soalan Sej Bab1 Tingkatan 5

Soalan Sej Bab1 Tingkatan 5

Soalan Psv Tingkatan 5 Pdf
Soalan Psv Tingkatan 5 Pdf

Soalan Psv Tingkatan 5 Pdf

Jawapan Lengkap Tingkatan 5 Pdf Pi Probability And Statistics
Jawapan Lengkap Tingkatan 5 Pdf Pi Probability And Statistics

Jawapan Lengkap Tingkatan 5 Pdf Pi Probability And Statistics

Kertas Soalan Tingkatan 5 Ujian 1 Aydenkruwibarra
Kertas Soalan Tingkatan 5 Ujian 1 Aydenkruwibarra

Kertas Soalan Tingkatan 5 Ujian 1 Aydenkruwibarra

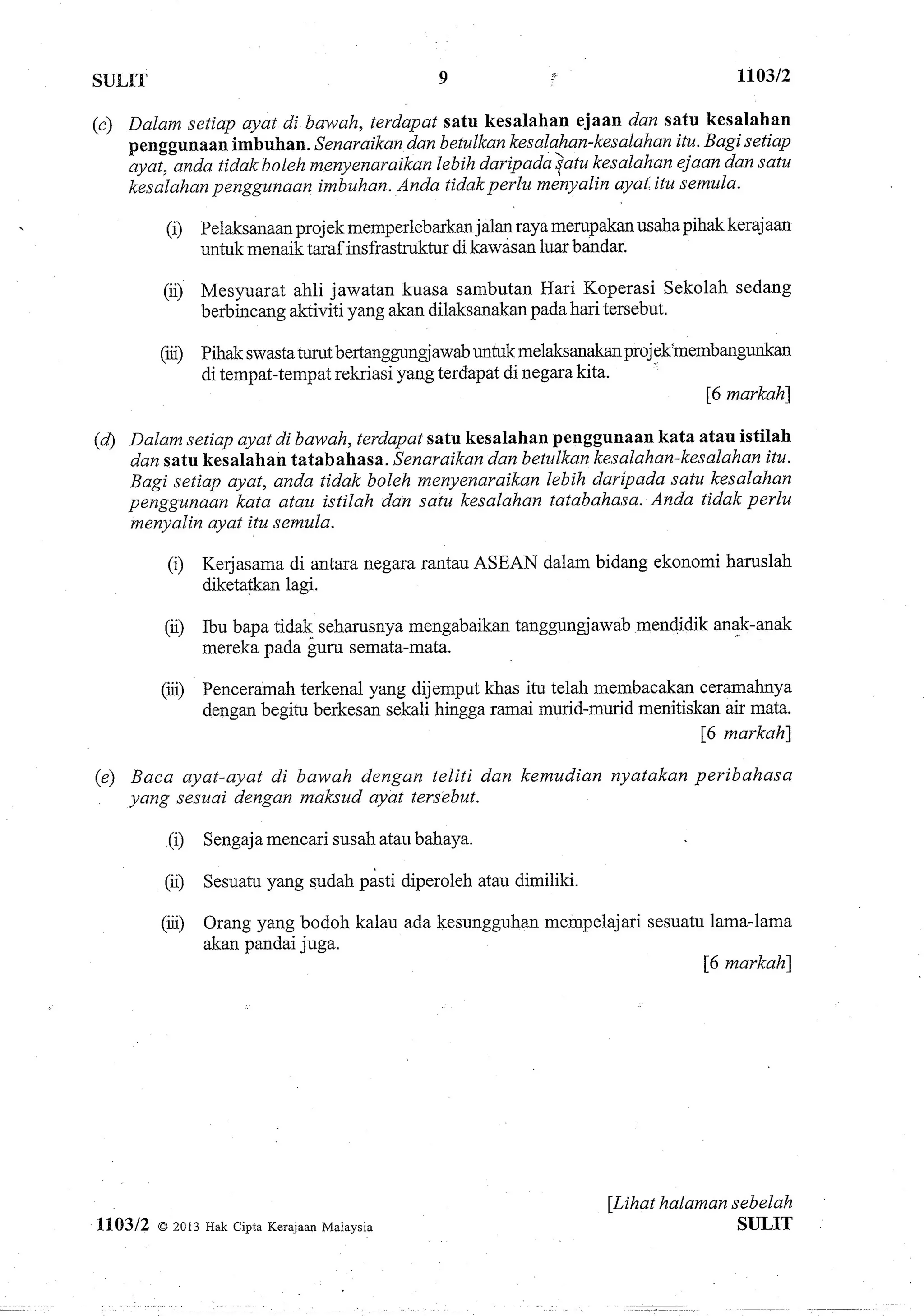
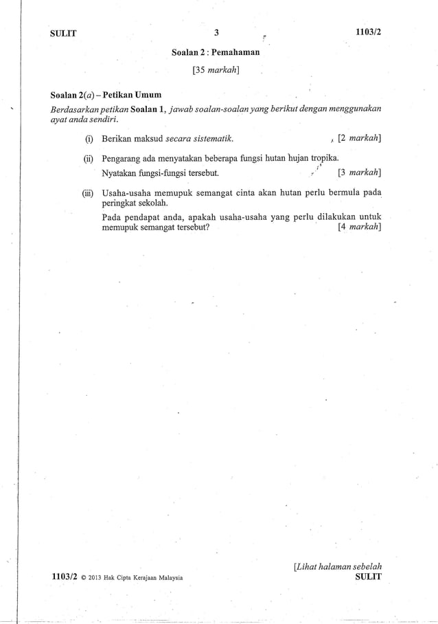
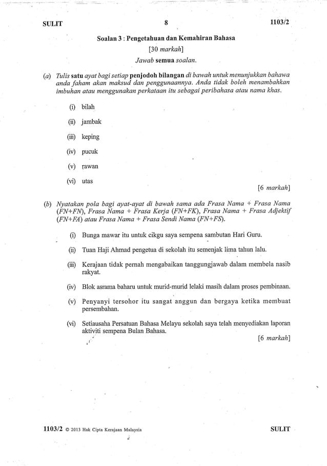
Contoh Soalan Peperiksaan Bahasa Melayu Tingkatan 5 Pdf
Contoh Soalan Peperiksaan Bahasa Melayu Tingkatan 5 Pdf

Contoh Soalan Peperiksaan Bahasa Melayu Tingkatan 5 Pdf

Contoh Soalan Peperiksaan Bahasa Melayu Tingkatan 5 Pdf
Contoh Soalan Peperiksaan Bahasa Melayu Tingkatan 5 Pdf

Contoh Soalan Peperiksaan Bahasa Melayu Tingkatan 5 Pdf

Soalan Tingkatan 5 1 9 Pdf
Soalan Tingkatan 5 1 9 Pdf

Soalan Tingkatan 5 1 9 Pdf

Copy Soalan Tahun 5 Pdf
Copy Soalan Tahun 5 Pdf

Copy Soalan Tahun 5 Pdf

Soalan Matematik Tingkatan 5 Soakploaty
Soalan Matematik Tingkatan 5 Soakploaty

Soalan Matematik Tingkatan 5 Soakploaty

Soalan Bab 2 Tingkatan 5 Pn Pdf
Soalan Bab 2 Tingkatan 5 Pn Pdf

Soalan Bab 2 Tingkatan 5 Pn Pdf

Contoh Soalan Peperiksaan Bahasa Melayu Tingkatan 5 Pdf
Contoh Soalan Peperiksaan Bahasa Melayu Tingkatan 5 Pdf

Contoh Soalan Peperiksaan Bahasa Melayu Tingkatan 5 Pdf

Latihan Soalan Matematik Tingkatan 5 Soalan Matematik Tingkatan 5
Latihan Soalan Matematik Tingkatan 5 Soalan Matematik Tingkatan 5

Latihan Soalan Matematik Tingkatan 5 Soalan Matematik Tingkatan 5

Soalan Ujian Setara 1 Tingkatan 5 2021 Pdf
Soalan Ujian Setara 1 Tingkatan 5 2021 Pdf

Soalan Ujian Setara 1 Tingkatan 5 2021 Pdf

Soalan Matematik Darjah 5 Pdf
Soalan Matematik Darjah 5 Pdf

Soalan Matematik Darjah 5 Pdf

Pdf Soalan Ppt Tingkatan 5 Dokumen Tips
Pdf Soalan Ppt Tingkatan 5 Dokumen Tips

Pdf Soalan Ppt Tingkatan 5 Dokumen Tips

Soalan Pentaksiran Pertengahan Tahun Tingkatan 5 New Pdf
Soalan Pentaksiran Pertengahan Tahun Tingkatan 5 New Pdf

Soalan Pentaksiran Pertengahan Tahun Tingkatan 5 New Pdf

Contoh Soalan Peperiksaan Bahasa Melayu Tingkatan 5 Pdf
Contoh Soalan Peperiksaan Bahasa Melayu Tingkatan 5 Pdf

Contoh Soalan Peperiksaan Bahasa Melayu Tingkatan 5 Pdf

Contoh Soalan Peperiksaan Bahasa Melayu Tingkatan 5 Pdf
Contoh Soalan Peperiksaan Bahasa Melayu Tingkatan 5 Pdf

Contoh Soalan Peperiksaan Bahasa Melayu Tingkatan 5 Pdf

Latihan Soalan Matematik Tingkatan 5 Soalan Matematik Tingkatan 5
Latihan Soalan Matematik Tingkatan 5 Soalan Matematik Tingkatan 5

Latihan Soalan Matematik Tingkatan 5 Soalan Matematik Tingkatan 5

Tingkatan 5 Novel Tirani Pdf
Tingkatan 5 Novel Tirani Pdf

Tingkatan 5 Novel Tirani Pdf

Soalan Matematik Tingkatan 5 Soakploaty
Soalan Matematik Tingkatan 5 Soakploaty

Soalan Matematik Tingkatan 5 Soakploaty

Soalan Matematik Tingkatan 5 Bab 6 Tingkatan Ajaran
Soalan Matematik Tingkatan 5 Bab 6 Tingkatan Ajaran

Soalan Matematik Tingkatan 5 Bab 6 Tingkatan Ajaran

Contoh Soalan Peperiksaan Bahasa Melayu Tingkatan 5 Pdf
Contoh Soalan Peperiksaan Bahasa Melayu Tingkatan 5 Pdf

Contoh Soalan Peperiksaan Bahasa Melayu Tingkatan 5 Pdf

Contoh Soalan Peperiksaan Bahasa Melayu Tingkatan 5 Pdf
Contoh Soalan Peperiksaan Bahasa Melayu Tingkatan 5 Pdf

Contoh Soalan Peperiksaan Bahasa Melayu Tingkatan 5 Pdf

Soalan Exam A1 Tingkatan 5 Pdf
Soalan Exam A1 Tingkatan 5 Pdf

Soalan Exam A1 Tingkatan 5 Pdf

Tahun 5 Soalan 7 10 Pdf
Tahun 5 Soalan 7 10 Pdf

Tahun 5 Soalan 7 10 Pdf

Soalan Spm Tingkatan 5 2022 Pdf
Soalan Spm Tingkatan 5 2022 Pdf

Soalan Spm Tingkatan 5 2022 Pdf

Soalan Matematik Tingkatan 5 Kssm Matematik Tingkatan 5 Ubahan Latih
Soalan Matematik Tingkatan 5 Kssm Matematik Tingkatan 5 Ubahan Latih

Soalan Matematik Tingkatan 5 Kssm Matematik Tingkatan 5 Ubahan Latih

Contoh Soalan Peperiksaan Bahasa Melayu Tingkatan 5 Pdf
Contoh Soalan Peperiksaan Bahasa Melayu Tingkatan 5 Pdf

Contoh Soalan Peperiksaan Bahasa Melayu Tingkatan 5 Pdf

Contoh Soalan Peperiksaan Bahasa Melayu Tingkatan 5 Pdf
Contoh Soalan Peperiksaan Bahasa Melayu Tingkatan 5 Pdf

Contoh Soalan Peperiksaan Bahasa Melayu Tingkatan 5 Pdf

Soalan Peperiksaan Pertengahan Tahun Tingkatan 5 Kertas 2 2011 Pdf
Soalan Peperiksaan Pertengahan Tahun Tingkatan 5 Kertas 2 2011 Pdf

Soalan Peperiksaan Pertengahan Tahun Tingkatan 5 Kertas 2 2011 Pdf

Comments are closed.