Simplify your online presence. Elevate your brand.

Soal Ipa Kelas 7 Pdf

Soal Ipa Kelas 7 Pdf
Soal Ipa Kelas 7 Pdf

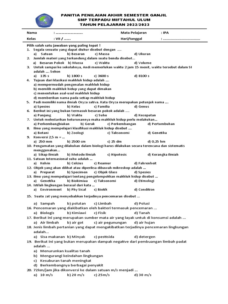
Soal Ipa Kelas 7 Pdf Dokumen ini berisi soal soal ipa untuk siswa smp mts kelas 7 semester 2 yang mencakup berbagai topik seperti pencemaran, pemanasan global, klasifikasi makhluk hidup, dan astronomi. Soal ipa dan ringkasan materi ipa gratis lengkap untuk kelas sd kelas 3 6, smp kelas 7 9, dan smp kelas 10 12 dalam format pdf bisa diprint.

Soal Uts Ipa Kelas 7 Pdf
Soal Uts Ipa Kelas 7 Pdf

Soal Uts Ipa Kelas 7 Pdf Soal ipa babak wilayah kst 2023 smp kelas 7 petunjuk mengerjakan soal: soal terdiri dari 50 butir pilihan ganda. kerjakan setiap bentuk soal pada lembar jawaban yang telah disediakan. Soal sas pas ilmu pengetahuan alam (ipa) kelas 7 smp mts semester 1 ini terdiri dari 20 (dua puluh) soal pilihan ganda dan 5 (lima) soal esai, serta sudah dilengkapi dengan kunci jawaban terdapat pada kisi kisi. Contoh soal pas ipa kelas 7 semester 1 (ganjil) pilihlah jawaban yang paling benar!. Pilihlah salah satu jawaban yang paling benar dengan memberikan tanda silang (x) pada huruf a, b, c atau d! pengukuran merupakan kegiatan membandingkan suatu besaran yang diukur dengan alat ukur yang digunakan sebagai . panjang meja 1 meter. satuan besaran yang digunakan pada pernyataan tersebut adalah .

Latihan Soal Ipa Kelas 7 Smt 2 Pdf
Latihan Soal Ipa Kelas 7 Smt 2 Pdf

Latihan Soal Ipa Kelas 7 Smt 2 Pdf Contoh soal pas ipa kelas 7 semester 1 (ganjil) pilihlah jawaban yang paling benar!. Pilihlah salah satu jawaban yang paling benar dengan memberikan tanda silang (x) pada huruf a, b, c atau d! pengukuran merupakan kegiatan membandingkan suatu besaran yang diukur dengan alat ukur yang digunakan sebagai . panjang meja 1 meter. satuan besaran yang digunakan pada pernyataan tersebut adalah . Teks tersebut berisi soal soal ujian kompetensi ipa kelas vii yang mencakup berbagai materi seperti besaran dan satuan fisika, pengukuran, serta taksonomi makhluk hidup. 40 soal ipa semester genap kelas 7 smp terbaru 2026 ringkasan berita materi ipa kelas 7 semester genap fokus pada pemahaman konsep alam semesta dan interaksi makhluk hidup dalam ekosistem. latihan soal ini membantu siswa memperdalam pengetahuan tentang organisasi kehidupan, lingkungan, dan tata surya secara sistematis. Kherysuryawan.id – download soal dan kunci jawaban ujian sekolah (us) untuk jenjang smp semua mata pelajaran lengkap versi terbaru kurikulum terbaru. sahabat pendidikan yang berbahagia, selamat berjumpa kembali di postingan yang akan membahas seputar informasi dalam dunia pendidikan. pada kesempatan kali ini saya sebagai admin akan memberikan beberapa jenis file dalam bentuk ms word yang. Latihan soal ipa kelas 7 smp asat pat asas 2026 hadir dengan 40 butir pilihan ganda sesuai kurikulum merdeka.

Soal Ipa Kelas 7 Pdf
Soal Ipa Kelas 7 Pdf

Soal Ipa Kelas 7 Pdf Teks tersebut berisi soal soal ujian kompetensi ipa kelas vii yang mencakup berbagai materi seperti besaran dan satuan fisika, pengukuran, serta taksonomi makhluk hidup. 40 soal ipa semester genap kelas 7 smp terbaru 2026 ringkasan berita materi ipa kelas 7 semester genap fokus pada pemahaman konsep alam semesta dan interaksi makhluk hidup dalam ekosistem. latihan soal ini membantu siswa memperdalam pengetahuan tentang organisasi kehidupan, lingkungan, dan tata surya secara sistematis. Kherysuryawan.id – download soal dan kunci jawaban ujian sekolah (us) untuk jenjang smp semua mata pelajaran lengkap versi terbaru kurikulum terbaru. sahabat pendidikan yang berbahagia, selamat berjumpa kembali di postingan yang akan membahas seputar informasi dalam dunia pendidikan. pada kesempatan kali ini saya sebagai admin akan memberikan beberapa jenis file dalam bentuk ms word yang. Latihan soal ipa kelas 7 smp asat pat asas 2026 hadir dengan 40 butir pilihan ganda sesuai kurikulum merdeka.

Soal Ipa Kelas 7 Terbaru Pdf
Soal Ipa Kelas 7 Terbaru Pdf

Soal Ipa Kelas 7 Terbaru Pdf Kherysuryawan.id – download soal dan kunci jawaban ujian sekolah (us) untuk jenjang smp semua mata pelajaran lengkap versi terbaru kurikulum terbaru. sahabat pendidikan yang berbahagia, selamat berjumpa kembali di postingan yang akan membahas seputar informasi dalam dunia pendidikan. pada kesempatan kali ini saya sebagai admin akan memberikan beberapa jenis file dalam bentuk ms word yang. Latihan soal ipa kelas 7 smp asat pat asas 2026 hadir dengan 40 butir pilihan ganda sesuai kurikulum merdeka.

Comments are closed.