Simplify your online presence. Elevate your brand.

Sem 1 Unv 103 T1 Navigating Name Course Date Instructor Topic 1

Unv103 T1 Navigating Lc5 Docx 1 Course Unv 103 Topic 1 Assignment
Unv103 T1 Navigating Lc5 Docx 1 Course Unv 103 Topic 1 Assignment

Unv103 T1 Navigating Lc5 Docx 1 Course Unv 103 Topic 1 Assignment Give access to course material, topics and tasks in each topic. the first tab show up after you click on “path” is the detail of the professor and syllabus on the upper right hand corner. 1 name: course: date: instructor: topic 1 assignment: navigating gcu resources & writing expectations directions: type directly into this document. complete all 13 questions in part 1 and the matching exercise in part 2. provide the answers you find in one to two sentences, or in short answer format. please do not forget to save once you begin.

Unv 103 T1 Navigating Loudcloud 1111111 Docx Name Zitlaly Belmontez
Unv 103 T1 Navigating Loudcloud 1111111 Docx Name Zitlaly Belmontez

Unv 103 T1 Navigating Loudcloud 1111111 Docx Name Zitlaly Belmontez • explain the steps to find your grades and instructor feedback in the digital classroom. you would log into halo learn, go down to the icon gardebook. select the assignment that you are looking for, your grade will be posted to the left and to view feedback. Assignment due date: end of topic 1 part 1: navigating the digital classroom and the gcu website (the spacing will be adjusted as you type your responses. please do not forget to save once you begin to answer the questions, so you do not lose any information.). Describe the following tabs: • explain the steps to find your grades and instructor feedback in the digital classroom. you would log into halo learn, go down to the icon gardebook. select the assignment that you are looking for, your grade will be posted to the left and to view feedback. Assignment due date: end of topic 1 part 1: navigating the digital classroom and the gcu website (the spacing will be adjusted as you type your responses. please do not forget to save once you begin to answer the questions, so you do not lose any information.).

Unv 103 T7 Referenceguide Online Copy Pdf Name Course Unv 103
Unv 103 T7 Referenceguide Online Copy Pdf Name Course Unv 103

Unv 103 T7 Referenceguide Online Copy Pdf Name Course Unv 103 Describe the following tabs: • explain the steps to find your grades and instructor feedback in the digital classroom. you would log into halo learn, go down to the icon gardebook. select the assignment that you are looking for, your grade will be posted to the left and to view feedback. Assignment due date: end of topic 1 part 1: navigating the digital classroom and the gcu website (the spacing will be adjusted as you type your responses. please do not forget to save once you begin to answer the questions, so you do not lose any information.). The planner has view of the important dates for each of the current classes. from here, you can see a monthly, weekly, or daily view of the assessment due dates and other events. Academic writing requires such strict formatting because the instructors have to read all the students papers, and if we all submit them in different formatting then it may cause the teachers to struggle with reading them. It includes sections on academic writing expectations and guidelines, emphasizing the importance of formatting and adherence to specific writing standards. students are instructed to save their work and submit it by the due date at the end of topic 1. The document is an assignment worksheet for a university success course, detailing instructions for navigating gcu's digital classroom and resources. it includes questions about various gcu tools, writing expectations, and personal reflections on courses and resources.

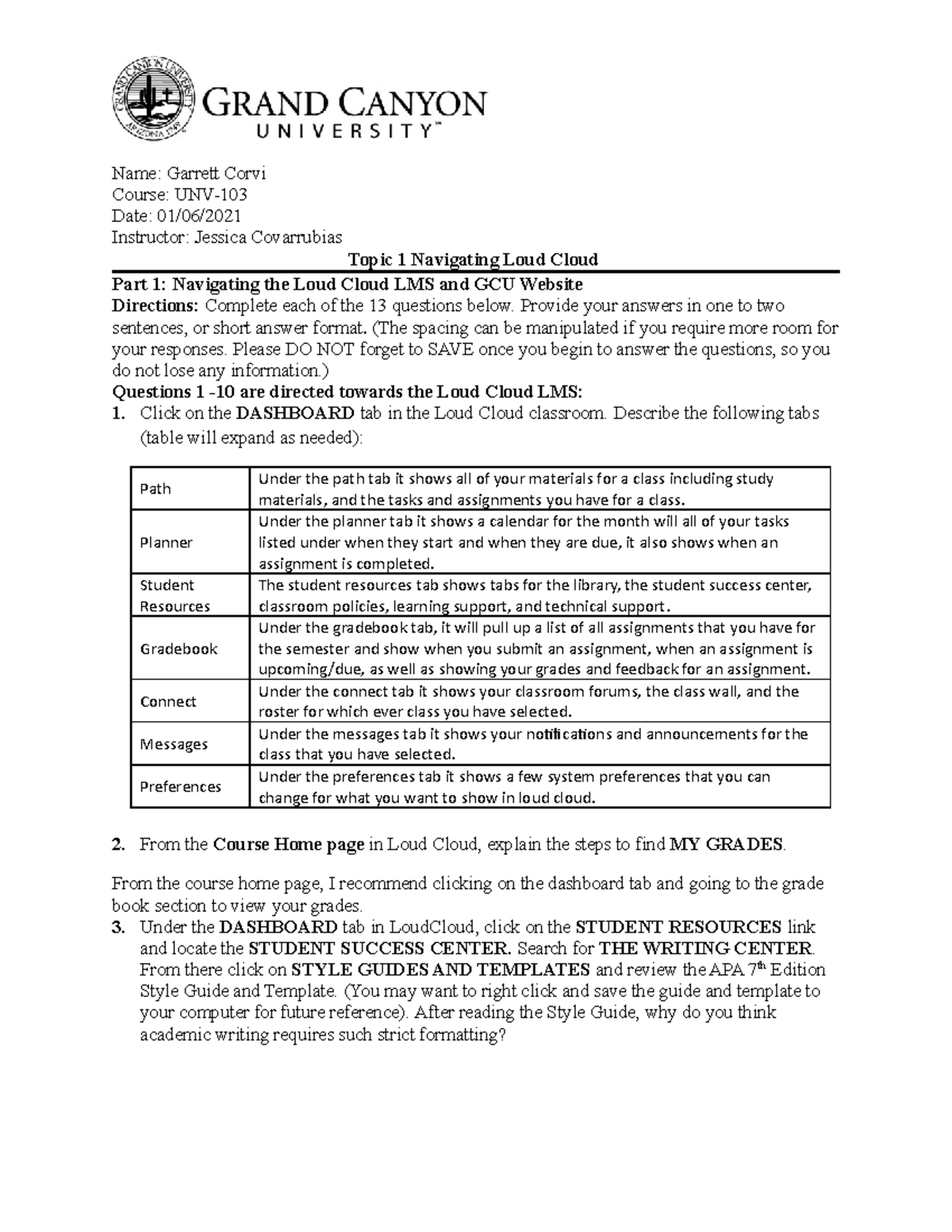
Unv 103 T1 Navigating Loud Cloud Trad Name Garrett Corvi Course Unv
Unv 103 T1 Navigating Loud Cloud Trad Name Garrett Corvi Course Unv

Unv 103 T1 Navigating Loud Cloud Trad Name Garrett Corvi Course Unv The planner has view of the important dates for each of the current classes. from here, you can see a monthly, weekly, or daily view of the assessment due dates and other events. Academic writing requires such strict formatting because the instructors have to read all the students papers, and if we all submit them in different formatting then it may cause the teachers to struggle with reading them. It includes sections on academic writing expectations and guidelines, emphasizing the importance of formatting and adherence to specific writing standards. students are instructed to save their work and submit it by the due date at the end of topic 1. The document is an assignment worksheet for a university success course, detailing instructions for navigating gcu's digital classroom and resources. it includes questions about various gcu tools, writing expectations, and personal reflections on courses and resources.

Unv103 T1 Navigating Lc5 Docx 1 Course Unv 103 Topic 1 Assignment
Unv103 T1 Navigating Lc5 Docx 1 Course Unv 103 Topic 1 Assignment

Unv103 T1 Navigating Lc5 Docx 1 Course Unv 103 Topic 1 Assignment It includes sections on academic writing expectations and guidelines, emphasizing the importance of formatting and adherence to specific writing standards. students are instructed to save their work and submit it by the due date at the end of topic 1. The document is an assignment worksheet for a university success course, detailing instructions for navigating gcu's digital classroom and resources. it includes questions about various gcu tools, writing expectations, and personal reflections on courses and resources.

Comments are closed.