Simplify your online presence. Elevate your brand.

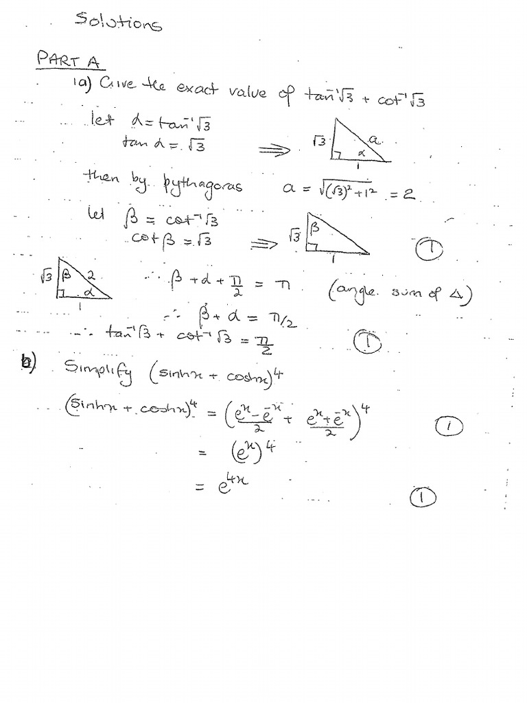
Sample Final Exam Solutions

Final Exam Solutions Pdf Stocks Moneyness
Final Exam Solutions Pdf Stocks Moneyness

Final Exam Solutions Pdf Stocks Moneyness Answer key explanation: first, we notice that the management we are doing is having a car wait until it can cross, and then cross. To analyze the running time of this algorithm, observe that to simulate one step of m we only need to update m’s configuration and the counter which records how long m has been running. both can be done within o(j) steps (actually much less is possible, but unnecessary here).

Final Exam Solution Pdf
Final Exam Solution Pdf

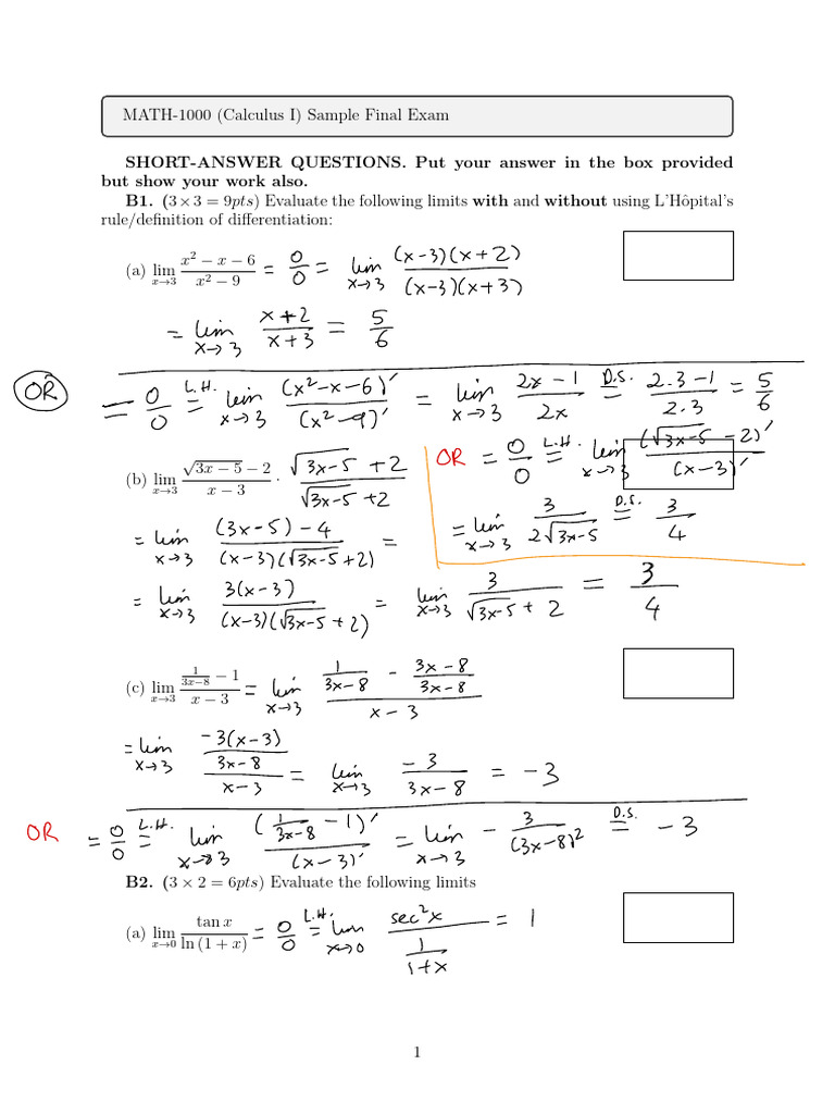
Final Exam Solution Pdf Access the sample final exams answer key for exam 1, exam 2, and exam 3. this document provides solutions for 20 multiple choice questions, ideal for students and educators. Sample questions, practice problems, and full exams with solutions from past courses to familiarize students with the exam format and content. the document aims to provide students in a coursera operations management course with resources to successfully complete the final exam. On studocu you find all the lecture notes, summaries and study guides you need to pass your exams with better grades. Included here is a set of problems covering topics of the final exam. these problems are provided to you for your review in preparing for the exam this semester.

Sample Final Exam Solutions Pdf
Sample Final Exam Solutions Pdf

Sample Final Exam Solutions Pdf On studocu you find all the lecture notes, summaries and study guides you need to pass your exams with better grades. Included here is a set of problems covering topics of the final exam. these problems are provided to you for your review in preparing for the exam this semester. Final exam practice questions note: this is to help study for the final exam. while the questions are similar to what a real exam may contain they may lean on the harder side. this should be treated as a study guide and not a mock exam. These are sample questions of the type you might find on the final exam. you should feel free to consult course materials as you work on these problems. you will also be able to use course materials on the final exam, as you were on the mid term. Example for the algorithm we saw in class (and also appears in the book). consider th following n jobs where the ith job is (i, i 1, 1) (for 1 ≤ i ≤ n). not that in this case, for every 2 ≤ i ≤ n, p(i) = i − 2 and p(1) = 0. thus if t (n) was the run time for compu t (n) ≥ t (n − 1) t (n − 2). Acc 1100 sample final exam 5 question five for each of the following, circle the letter that corresponds with the best response. marks are not deducted for incorrect answers. using the following information for questions 1 5 (round all calculations to two decimal place).

Final Exam Sample Solution Pdf Mathematical Objects Mathematical
Final Exam Sample Solution Pdf Mathematical Objects Mathematical

Final Exam Sample Solution Pdf Mathematical Objects Mathematical Final exam practice questions note: this is to help study for the final exam. while the questions are similar to what a real exam may contain they may lean on the harder side. this should be treated as a study guide and not a mock exam. These are sample questions of the type you might find on the final exam. you should feel free to consult course materials as you work on these problems. you will also be able to use course materials on the final exam, as you were on the mid term. Example for the algorithm we saw in class (and also appears in the book). consider th following n jobs where the ith job is (i, i 1, 1) (for 1 ≤ i ≤ n). not that in this case, for every 2 ≤ i ≤ n, p(i) = i − 2 and p(1) = 0. thus if t (n) was the run time for compu t (n) ≥ t (n − 1) t (n − 2). Acc 1100 sample final exam 5 question five for each of the following, circle the letter that corresponds with the best response. marks are not deducted for incorrect answers. using the following information for questions 1 5 (round all calculations to two decimal place).

Final Exam Sample Pdf Mathematical Proof Mathematics
Final Exam Sample Pdf Mathematical Proof Mathematics

Final Exam Sample Pdf Mathematical Proof Mathematics Example for the algorithm we saw in class (and also appears in the book). consider th following n jobs where the ith job is (i, i 1, 1) (for 1 ≤ i ≤ n). not that in this case, for every 2 ≤ i ≤ n, p(i) = i − 2 and p(1) = 0. thus if t (n) was the run time for compu t (n) ≥ t (n − 1) t (n − 2). Acc 1100 sample final exam 5 question five for each of the following, circle the letter that corresponds with the best response. marks are not deducted for incorrect answers. using the following information for questions 1 5 (round all calculations to two decimal place).

Comments are closed.