Simplify your online presence. Elevate your brand.

Rewriting Square Root Of Fraction

Square Root Fraction Simplifier Calculator Hzpolk
Square Root Fraction Simplifier Calculator Hzpolk

Square Root Fraction Simplifier Calculator Hzpolk Adding and subtracting radical expressions with square roots and cube roots approximating square roots to hundredths | pre algebra | khan academy. We can simplify the √ (1 200) by finding perfect squares that are factors of 200. we could either look directly for the largest perfect square factor or break 200 into smaller factors and find repeated factors. if we have √2 in the denominator, we can multiply by √2 √2 to make an equivalent fraction.

Square Root Fraction Simplifying Calculator Golfegg
Square Root Fraction Simplifying Calculator Golfegg

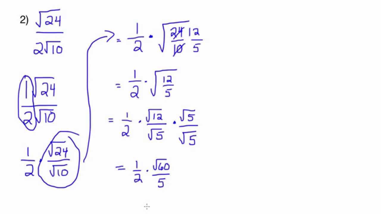
Square Root Fraction Simplifying Calculator Golfegg An online calculator that simplifies the square root of a fraction step by step and describes the solution. square root of fractions calculator with steps. In these lessons, we will look at some examples of simplifying fractions within a square root (or radical). some techniques used are: find the square root of the numerator and denominator separately, reduce the fraction and change to improper fraction. To rewrite a radical using a fractional exponent, the power to which the radicand is raised becomes the numerator and the root index becomes the denominator. Ai explanations are generated using openai technology. ai generated content may present inaccurate or offensive content that does not represent symbolab's view. ai may present inaccurate or offensive content that does not represent symbolab's views. save to notebook!.

Square Root Fraction Simplifying Calculator Terality
Square Root Fraction Simplifying Calculator Terality

Square Root Fraction Simplifying Calculator Terality To rewrite a radical using a fractional exponent, the power to which the radicand is raised becomes the numerator and the root index becomes the denominator. Ai explanations are generated using openai technology. ai generated content may present inaccurate or offensive content that does not represent symbolab's view. ai may present inaccurate or offensive content that does not represent symbolab's views. save to notebook!. We can use a similar property to simplify a square root of a fraction. after removing all common factors from the numerator and denominator, if the fraction is not a perfect square we simplify the numerator and denominator separately. Compute square roots of fractions with detailed, stepwise simplification. extract perfect square factors, rationalize radicals, and reduce results. export results to csv or pdf for reports. To rationalize the denominator means to eliminate any radical expressions in the denominator such as square roots and cube roots. the key idea is to multiply the original fraction by an appropriate value, such that after simplification, the denominator no longer contains radicals. Learn how to rationalize the denominator of a square root of a fraction, and see examples that walk through sample problems step by step for you to improve your math knowledge and skills.

Square Root Fraction Simplifier Calculator Taiwanress
Square Root Fraction Simplifier Calculator Taiwanress

Square Root Fraction Simplifier Calculator Taiwanress We can use a similar property to simplify a square root of a fraction. after removing all common factors from the numerator and denominator, if the fraction is not a perfect square we simplify the numerator and denominator separately. Compute square roots of fractions with detailed, stepwise simplification. extract perfect square factors, rationalize radicals, and reduce results. export results to csv or pdf for reports. To rationalize the denominator means to eliminate any radical expressions in the denominator such as square roots and cube roots. the key idea is to multiply the original fraction by an appropriate value, such that after simplification, the denominator no longer contains radicals. Learn how to rationalize the denominator of a square root of a fraction, and see examples that walk through sample problems step by step for you to improve your math knowledge and skills.

Comments are closed.