Simplify your online presence. Elevate your brand.

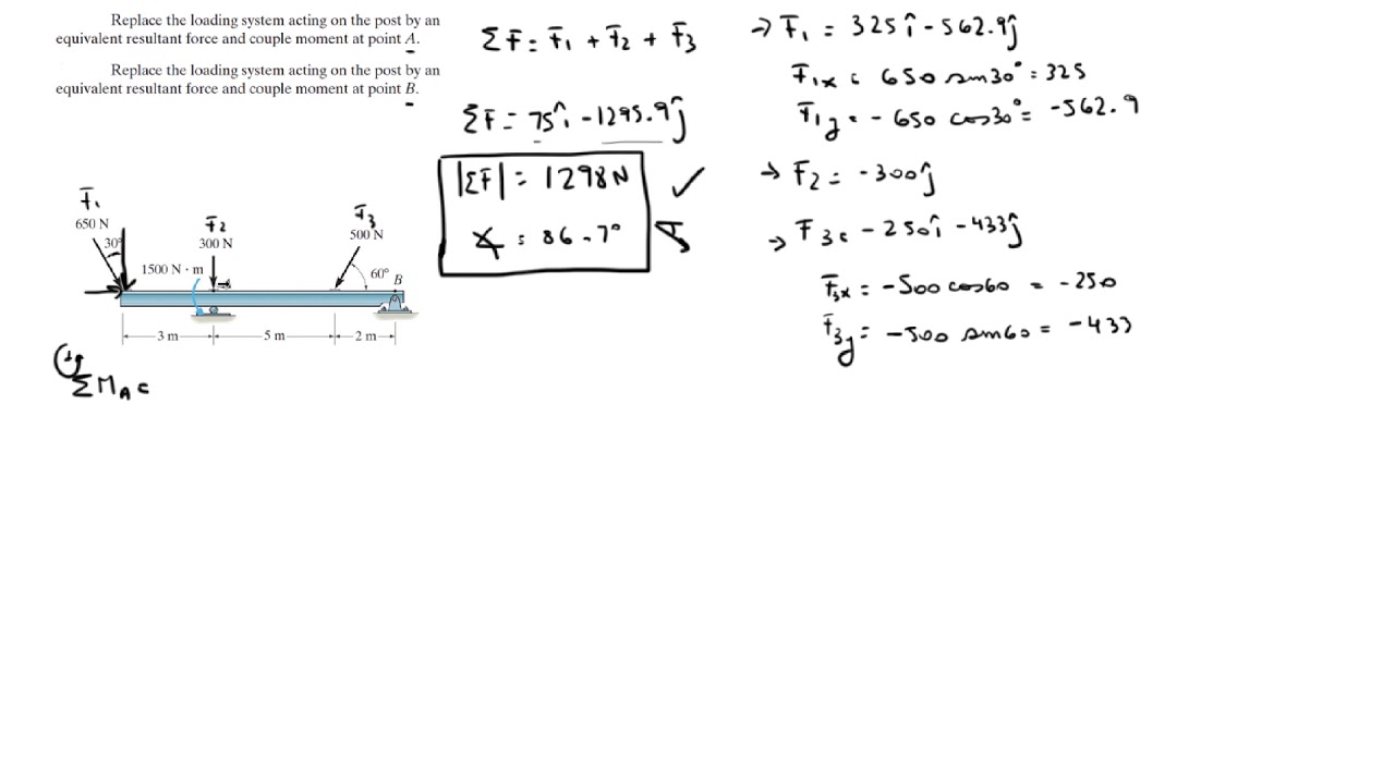
Replace The Loading System Acting On The Post

Solved From The Post At Right Replace The Loading System Chegg
Solved From The Post At Right Replace The Loading System Chegg

Solved From The Post At Right Replace The Loading System Chegg Replace the loading system acting on the post by an equivalent resultant force and couple moment at point a fiver order : fiverr s 42r7kak more. We are to replace all the forces and moments acting on the beam with a single resultant force and a single resultant moment (couple) at point b. this involves: resolving all forces into their x and y components. summing all x and y components to get the resultant force.

Solved Replace The Loading System Acting On The Post By An Chegg
Solved Replace The Loading System Acting On The Post By An Chegg

Solved Replace The Loading System Acting On The Post By An Chegg Without the specific forces and their locations on the post, a numerical answer cannot be provided. please provide the diagram or a detailed description of the loading system for a complete solution. The resultant force is the vector sum of all individual forces acting on the body. it represents the overall effect of the applied loads in terms of magnitude and direction, condensing multiple forces into one equivalent force that produces the same translational effect on the structure. Replace the loading system acting on the post by an equivalent resultant force and couple moment at point b. suppose that f1 = 700 n and f2 = 600 n. a. Replace the loading system acting on the post by an equivalent resultant force and couple moment at point b. your solution’s ready to go! our expert help has broken down your problem into an easy to learn solution you can count on. question: 4 103.

Solved Problem 4 103 Replace The Loading System Acting On Chegg
Solved Problem 4 103 Replace The Loading System Acting On Chegg

Solved Problem 4 103 Replace The Loading System Acting On Chegg Replace the loading system acting on the post by an equivalent resultant force and couple moment at point b. suppose that f1 = 700 n and f2 = 600 n. a. Replace the loading system acting on the post by an equivalent resultant force and couple moment at point b. your solution’s ready to go! our expert help has broken down your problem into an easy to learn solution you can count on. question: 4 103. Question: replace the loading system acting on the post by an equivalent resultant force and couple moment at point p. given: f1 = 30 lb f2. the answer is in the image, click to view view full answer. question has been solved by an expert! students have also explored these related questions!. Solution for 4 102. replace the loading system acting on the post by an equivalent resultant force and couple moment at point a. To replace the loading system acting on the post by an equivalent resultant force and couple moment at point b, we first need to find the magnitude of the resultant force. to find the resultant force, we can add the two given forces together using the pythagorean theorem: fnet = √ (f12 f22). Moment: moment is the quantity by which a force is trying to rotate another object or another part of the system. it is calculated by multiplying the force and the perpendicular distance of the.

Comments are closed.