Simplify your online presence. Elevate your brand.

Polytechnic First Year Math Logarithms Class 03

Logarithms Exercise 3 1 Class Notes
Logarithms Exercise 3 1 Class Notes

Logarithms Exercise 3 1 Class Notes πŸ”₯πŸ”₯πŸ”₯polytechnic first year classes ( common for all branch ) πŸ‘‡πŸ‘‡πŸ‘‡ polytechnic 1st year applied physics. This document is a mathematical reference for 1st year polytechnic students, covering various topics such as logarithms, determinants, matrices, and trigonometric functions. it includes basic formulae, definitions, and rules for each topic, along with examples.

Applied Mathematics Polytechnic 1 Pdf
Applied Mathematics Polytechnic 1 Pdf

Applied Mathematics Polytechnic 1 Pdf Notes of polytechnic 1st year, applied phys & maths & chem logarithm study material. Procedure to get standard form: take the coefficient of x as the unity as first equation. if 1 is there in first row first column, then make remaining two elements in first column as zero. after that if one element in r2 or r3 is 1, then make the remaining two elements in that column c2 or c3 as zeroes. Welcome to poly notes hub, a leading destination for engineering notes for polytechnic or diploma engineering and degree engineering students. author name: arun paul. Syllabus link to download3300001basic mathematics study material unit – 1logarithmsclick hereunit – 2determinants and matricesclick hereunit – 3trigonometryclick hereunit – 4vectorsclick hereunit – 5mensurationclick here assignment link to downloadclick here imp questions link to downloadclick here gtu exam paper summer 2021winter.

Chapter 3 Logarithms Mathematics 1 Logarithims Chapter 3
Chapter 3 Logarithms Mathematics 1 Logarithims Chapter 3

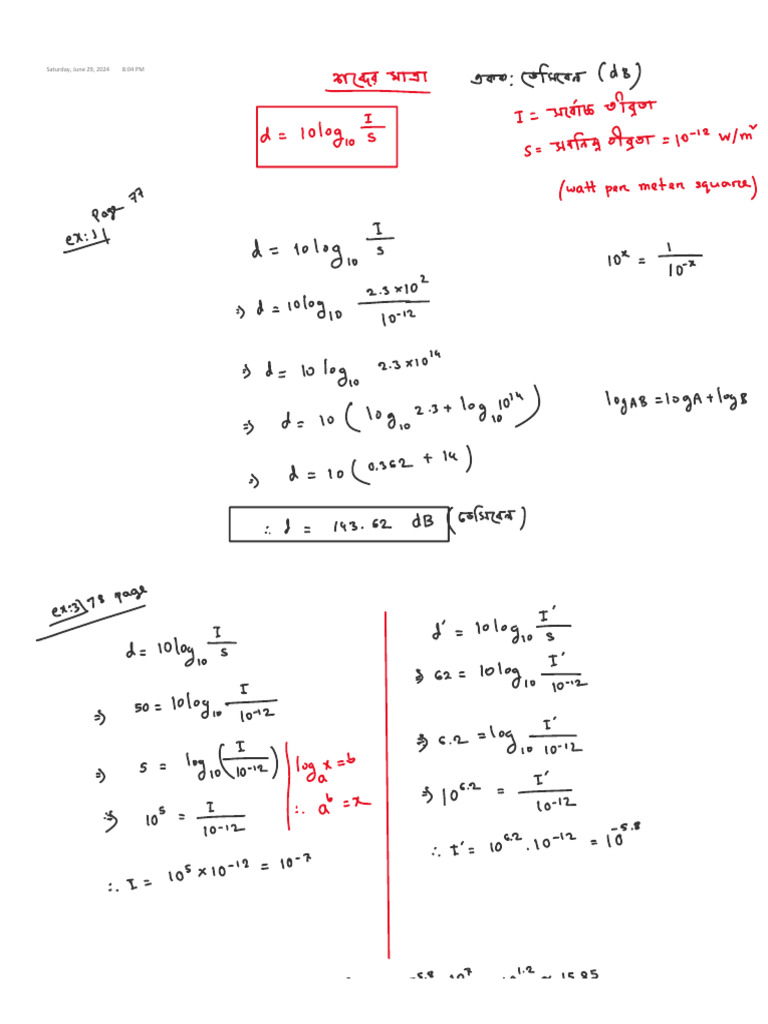
Chapter 3 Logarithms Mathematics 1 Logarithims Chapter 3 Welcome to poly notes hub, a leading destination for engineering notes for polytechnic or diploma engineering and degree engineering students. author name: arun paul. Syllabus link to download3300001basic mathematics study material unit – 1logarithmsclick hereunit – 2determinants and matricesclick hereunit – 3trigonometryclick hereunit – 4vectorsclick hereunit – 5mensurationclick here assignment link to downloadclick here imp questions link to downloadclick here gtu exam paper summer 2021winter. Handwritten notes, study material and books for 1st semester polytechnic. these notes are prepared by teachers and students of jharkhand polytechnic according to the syllabus issued by the jharkhand university of technology. The logarithmic function is the inverse of the exponential function. it is defined as: y = logax, if and only if x = ay; for x > 0, a > 0, and a β‰  1. logarithm questions and answers are provided below for you to learn and practice. question 1: find the value of x in the equation given 8x 1 – 8x 1 = 63. solution:. You can publish your book online for free in a few minutes! create your own flipbook. description: mathematics for polytechnic students, maths. Solve each of the following logarithmic equations.

Logarithm 01 Class Notes Pdf
Logarithm 01 Class Notes Pdf

Logarithm 01 Class Notes Pdf Handwritten notes, study material and books for 1st semester polytechnic. these notes are prepared by teachers and students of jharkhand polytechnic according to the syllabus issued by the jharkhand university of technology. The logarithmic function is the inverse of the exponential function. it is defined as: y = logax, if and only if x = ay; for x > 0, a > 0, and a β‰  1. logarithm questions and answers are provided below for you to learn and practice. question 1: find the value of x in the equation given 8x 1 – 8x 1 = 63. solution:. You can publish your book online for free in a few minutes! create your own flipbook. description: mathematics for polytechnic students, maths. Solve each of the following logarithmic equations.

Class 1 Log 4 Polynomial 1 Pdf
Class 1 Log 4 Polynomial 1 Pdf

Class 1 Log 4 Polynomial 1 Pdf You can publish your book online for free in a few minutes! create your own flipbook. description: mathematics for polytechnic students, maths. Solve each of the following logarithmic equations.

Maths Chp1 Logarithm Pdf
Maths Chp1 Logarithm Pdf

Maths Chp1 Logarithm Pdf

Comments are closed.