Simplify your online presence. Elevate your brand.

Polar To Rectangular Conversion Convert N 2 80 Chegg

Polar To Rectangular Conversion Convert N 2 80 Chegg
Polar To Rectangular Conversion Convert N 2 80 Chegg

Polar To Rectangular Conversion Convert N 2 80 Chegg This question hasn't been solved yet! polar to rectangular conversion convert n = (2.80 angle 29.9 degree) to rectangular form, (a jb) part a solve for the real part a part b solve for the imaginary part b. This polar to rectangular coordinates calculator will help you quickly and easily convert between these two widespread coordinate systems.

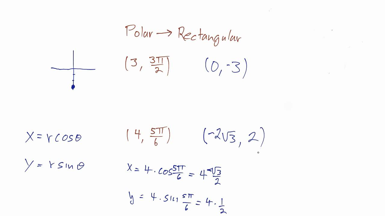
Solved Polar To Rectangular Conversion In Exercises 35 44 Chegg
Solved Polar To Rectangular Conversion In Exercises 35 44 Chegg

Solved Polar To Rectangular Conversion In Exercises 35 44 Chegg Below is an interactive calculator that allows you to easily convert complex numbers in polar form to rectangular form, and vice versa. there's also a graph which shows you the meaning of what you've found. Effortlessly convert polar coordinates (r, θ) to rectangular coordinates (x, y) with our free online calculator. ideal for students, engineers, and physicists needing quick coordinate transformations. This polar to rectangular form conversion calculator calculates the equivalent rectangular form of a number in polar form. The calculator will convert the polar equation to rectangular (cartesian) and vice versa, with steps shown.

Solved Convert N 2 2 J2 To Polar Form Convert N 3 Chegg
Solved Convert N 2 2 J2 To Polar Form Convert N 3 Chegg

Solved Convert N 2 2 J2 To Polar Form Convert N 3 Chegg This polar to rectangular form conversion calculator calculates the equivalent rectangular form of a number in polar form. The calculator will convert the polar equation to rectangular (cartesian) and vice versa, with steps shown. A polar to rectangular calculator is an online or physical tool that automates the conversion of polar coordinates (distance and angle) to rectangular coordinates (x and y values). Convert polar coordinates (r, θ) to rectangular (x, y) instantly. interactive tool with degree radian input, formulas, and visual explanation. Convert between polar and rectangular coordinates, perform complex number operations, and visualise results with this interactive and easy to use calculator. The diagram below shows both polar and cartesian coordinates applied to a point p. by applying trigonometry, we can obtain equations that will show the relationship between polar coordinates (r, θ) and the rectangular coordinates (x, y).

Comments are closed.