Simplify your online presence. Elevate your brand.

Placement Test E Cutting Edge

Cutting Edge Placement Test Pages 8 9 Pdf
Cutting Edge Placement Test Pages 8 9 Pdf

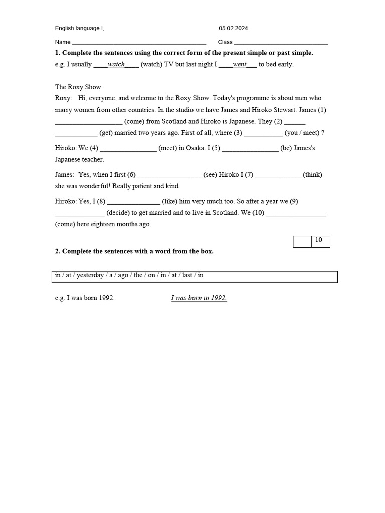
Cutting Edge Placement Test Pages 8 9 Pdf The document describes a placement test for the cutting edge english language learning series. it consists of 5 tests (a e) that correspond to different levels of the series. The new cutting edge placement test aims to identify the appropriate starting point for learners in their english studies across five levels, from starter to upper intermediate. each of the five tests contains 24 questions and is separately scored, with a passing grade set at 19 out of 24.

Dokumen Tips New Cutting Edge Elementary Tests This Set Of Tests
Dokumen Tips New Cutting Edge Elementary Tests This Set Of Tests

Dokumen Tips New Cutting Edge Elementary Tests This Set Of Tests New cutting edge placement test free pdf download 11 pages year: 2011 cutting edge read online @ pdf room. A placement test is not a diagnostic test, nor an achievement test and should not be used for these purposes. the test is divided into five tests a e. each tests covers the language taught in one level of the cutting edge series. This placement test is intended to produce a profile of the learner’s knowledge in english in order to identify the learner’s ‘cut off point’. this cut off point would be the point in the cutting edge series, where learning should begin. The cutting edge placement test includes 5 parts (a e) and four listening tracks.full description.

Cutting Edge Optimization Dorst Technologies
Cutting Edge Optimization Dorst Technologies

Cutting Edge Optimization Dorst Technologies This placement test is intended to produce a profile of the learner’s knowledge in english in order to identify the learner’s ‘cut off point’. this cut off point would be the point in the cutting edge series, where learning should begin. The cutting edge placement test includes 5 parts (a e) and four listening tracks.full description. New reading and listening texts bring the real world to the classroom. the tests are based strictly on the content of cutting edge, providing a fair measure of students' progress. Teacher's resource book for upper intermediate english learners. includes audio, video scripts, worksheets, and tests. This placement test is intended to produce a profile of the learner’s knowledge in english in order to identify the learner’s ‘cut off point’. this cut off point would be the point in thecutting edgeseries, where learning should begin. each test (a e) contains 24 questions. Test your english knowledge with this 56 question quiz. ideal for practice, review, and assessment with instant feedback on wayground.

Introducing Our Cutting Edge Test And Measurement Solutions Designed
Introducing Our Cutting Edge Test And Measurement Solutions Designed

Introducing Our Cutting Edge Test And Measurement Solutions Designed New reading and listening texts bring the real world to the classroom. the tests are based strictly on the content of cutting edge, providing a fair measure of students' progress. Teacher's resource book for upper intermediate english learners. includes audio, video scripts, worksheets, and tests. This placement test is intended to produce a profile of the learner’s knowledge in english in order to identify the learner’s ‘cut off point’. this cut off point would be the point in thecutting edgeseries, where learning should begin. each test (a e) contains 24 questions. Test your english knowledge with this 56 question quiz. ideal for practice, review, and assessment with instant feedback on wayground.

Exploring The Cutting Edge The Latest Automated Testing Technologies
Exploring The Cutting Edge The Latest Automated Testing Technologies

Exploring The Cutting Edge The Latest Automated Testing Technologies This placement test is intended to produce a profile of the learner’s knowledge in english in order to identify the learner’s ‘cut off point’. this cut off point would be the point in thecutting edgeseries, where learning should begin. each test (a e) contains 24 questions. Test your english knowledge with this 56 question quiz. ideal for practice, review, and assessment with instant feedback on wayground.

Cutting Edge Test Pdf
Cutting Edge Test Pdf

Cutting Edge Test Pdf

Comments are closed.