Simplify your online presence. Elevate your brand.

Perlatihan Huruf Kapital Pdf

Perlatihan Huruf Kapital Pdf
Perlatihan Huruf Kapital Pdf

Perlatihan Huruf Kapital Pdf Perlatihan huruf kapital free download as word doc (.doc .docx), pdf file (.pdf), text file (.txt) or read online for free. Latihan menulis huruf kapital (1) lembar kerja untuk belajar menulis huruf kapital bagi anak usia dini atau pembelajar awal, dengan cara menebalkan huruf berupa titik titik.

Lembar Kerja Huruf Kapital Pdf
Lembar Kerja Huruf Kapital Pdf

Lembar Kerja Huruf Kapital Pdf Lembar kerja huruf kapital untuk taman kanak kanak dari wayground menyediakan pdf yang dapat dicetak secara gratis dengan soal latihan dan kunci jawaban untuk membantu anak anak usia dini menguasai pengenalan, pembentukan, dan keterampilan menulis huruf kapital. Kaidah dalam penulisan huruf kapital dalam bahasa indonesia, agar pembaca dapat lebih memahami secara mendalam mengenai penggunaan huruf kapital yang baik dan benar. Huruf kapital dipakai sebagai huruf pertama dalam menulis ungkapan yang berhubungan dengan hal keagamaan, kitab suci, dan nama tuhan, termasuk kata ganti untuk tuhan. Dokumen ini menyajikan latihan tentang penggunaan huruf kapital yang benar dalam penulisan teks. termasuk 31 contoh kalimat dengan kemungkinan kesalahan dalam penerapan huruf kapital, yang harus diperbaiki.

Latihan Soal Penggunaan Huruf Kapital Pdf
Latihan Soal Penggunaan Huruf Kapital Pdf

Latihan Soal Penggunaan Huruf Kapital Pdf Huruf kapital dipakai sebagai huruf pertama dalam menulis ungkapan yang berhubungan dengan hal keagamaan, kitab suci, dan nama tuhan, termasuk kata ganti untuk tuhan. Dokumen ini menyajikan latihan tentang penggunaan huruf kapital yang benar dalam penulisan teks. termasuk 31 contoh kalimat dengan kemungkinan kesalahan dalam penerapan huruf kapital, yang harus diperbaiki. Dokumen ini menjelaskan penggunaan huruf kapital dalam penulisan, termasuk di awal kalimat, nama orang, dan nama kota. terdapat juga serangkaian soal yang meminta siswa untuk menuliskan kalimat dengan huruf kapital yang benar dan menjawab pertanyaan berdasarkan cerita pendek. selain itu, terdapat cerita tentang hewan dan sayuran yang diikuti dengan pertanyaan untuk menguji pemahaman siswa. Huruf kapital diletakkan pada awal kata dalam sebuah kalimat. huruf kapital juga digunakan pada nama bulan dan hari. pada nama bulan, hari, dan nama diri huruf kapital harus tetap digunakan meskipun tidak terletak di awal kalimat. Huruf kapital digunakan sebagai huruf pertama unsur nama gelar kehormatan, kebangsawanan, keturunan, keagamaan, atau akademik yang diikuti nama orang dan gelar akademik yang mengikuti nama orang. Huruf kapital digunakan sebagai huruf pertama dalam hal tertentu yang berkaitan dengan nama agama, kitab suci, dan tuhan, termasuk sebutan dan kata ganti tuhan serta singkatan nama tuhan.

Huruf Kapital Pdf
Huruf Kapital Pdf

Huruf Kapital Pdf Dokumen ini menjelaskan penggunaan huruf kapital dalam penulisan, termasuk di awal kalimat, nama orang, dan nama kota. terdapat juga serangkaian soal yang meminta siswa untuk menuliskan kalimat dengan huruf kapital yang benar dan menjawab pertanyaan berdasarkan cerita pendek. selain itu, terdapat cerita tentang hewan dan sayuran yang diikuti dengan pertanyaan untuk menguji pemahaman siswa. Huruf kapital diletakkan pada awal kata dalam sebuah kalimat. huruf kapital juga digunakan pada nama bulan dan hari. pada nama bulan, hari, dan nama diri huruf kapital harus tetap digunakan meskipun tidak terletak di awal kalimat. Huruf kapital digunakan sebagai huruf pertama unsur nama gelar kehormatan, kebangsawanan, keturunan, keagamaan, atau akademik yang diikuti nama orang dan gelar akademik yang mengikuti nama orang. Huruf kapital digunakan sebagai huruf pertama dalam hal tertentu yang berkaitan dengan nama agama, kitab suci, dan tuhan, termasuk sebutan dan kata ganti tuhan serta singkatan nama tuhan.

Latihan Soal Huruf Kapital Bahasa Indonesia Pdf
Latihan Soal Huruf Kapital Bahasa Indonesia Pdf

Latihan Soal Huruf Kapital Bahasa Indonesia Pdf

Huruf Kapital Pdf
Huruf Kapital Pdf

Huruf Kapital Pdf

Latihan Soal Huruf Kapital Pdf
Latihan Soal Huruf Kapital Pdf

Latihan Soal Huruf Kapital Pdf

Lembar Kerja Huruf Kapital Dan Kecil Pdf
Lembar Kerja Huruf Kapital Dan Kecil Pdf

Lembar Kerja Huruf Kapital Dan Kecil Pdf

Penggunaan Huruf Kapital
Penggunaan Huruf Kapital

Penggunaan Huruf Kapital

Penggunaan Huruf Kapital Bahasa Indonesia Materi Huruf Kapital
Penggunaan Huruf Kapital Bahasa Indonesia Materi Huruf Kapital

Penggunaan Huruf Kapital Bahasa Indonesia Materi Huruf Kapital

Latihan Huruf Kapital Dan Tanda Baca Pdf
Latihan Huruf Kapital Dan Tanda Baca Pdf

Latihan Huruf Kapital Dan Tanda Baca Pdf

Literasi Huruf Kapital Pdf
Literasi Huruf Kapital Pdf

Literasi Huruf Kapital Pdf

Latihan Menulis Huruf Kapital Pdf
Latihan Menulis Huruf Kapital Pdf

Latihan Menulis Huruf Kapital Pdf

Melengkapi Huruf Kecil Dan Kapital Pdf
Melengkapi Huruf Kecil Dan Kapital Pdf

Melengkapi Huruf Kecil Dan Kapital Pdf

Tulis Dengan Huruf Kapital Yang Benar My Worksheet Maker Create
Tulis Dengan Huruf Kapital Yang Benar My Worksheet Maker Create

Tulis Dengan Huruf Kapital Yang Benar My Worksheet Maker Create

Mengenal Huruf Kapital Pdf
Mengenal Huruf Kapital Pdf

Mengenal Huruf Kapital Pdf

Penggunaan Huruf Kapital Pdf
Penggunaan Huruf Kapital Pdf

Penggunaan Huruf Kapital Pdf

Lkpd Huruf Kapital Pdf
Lkpd Huruf Kapital Pdf

Lkpd Huruf Kapital Pdf

Latihan Menulis Huruf Kapital Pdf
Latihan Menulis Huruf Kapital Pdf

Latihan Menulis Huruf Kapital Pdf

Huruf Kapital Pdf
Huruf Kapital Pdf

Huruf Kapital Pdf

Penggunaan Huruf Kapital Bahasa Indonesia Materi Huruf Kapital
Penggunaan Huruf Kapital Bahasa Indonesia Materi Huruf Kapital

Penggunaan Huruf Kapital Bahasa Indonesia Materi Huruf Kapital

50 Lembar Kerja Kata Kata Huruf Kapital Untuk Kelas 1 Di Quizizz
50 Lembar Kerja Kata Kata Huruf Kapital Untuk Kelas 1 Di Quizizz

50 Lembar Kerja Kata Kata Huruf Kapital Untuk Kelas 1 Di Quizizz

Lkpd Huruf Kapital Pdf
Lkpd Huruf Kapital Pdf

Lkpd Huruf Kapital Pdf

Huruf Kapital Dan Tanda Baca Pdf
Huruf Kapital Dan Tanda Baca Pdf

Huruf Kapital Dan Tanda Baca Pdf

Menulis Huruf Kapital Lembar Kerja Putih Hijau Sederharna Pdf
Menulis Huruf Kapital Lembar Kerja Putih Hijau Sederharna Pdf

Menulis Huruf Kapital Lembar Kerja Putih Hijau Sederharna Pdf

Penggunaan Huruf Kapital Pdf
Penggunaan Huruf Kapital Pdf

Penggunaan Huruf Kapital Pdf

Latihan Menulis Huruf Kapital 1 Free Download
Latihan Menulis Huruf Kapital 1 Free Download

Latihan Menulis Huruf Kapital 1 Free Download

Materi Penguatan Huruf Kapital Pptxaaaaaaa Pptx
Materi Penguatan Huruf Kapital Pptxaaaaaaa Pptx

Materi Penguatan Huruf Kapital Pptxaaaaaaa Pptx

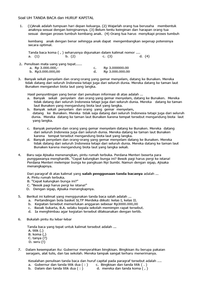
Soal Penggunaan Huruf Kapital 2 Pdf
Soal Penggunaan Huruf Kapital 2 Pdf

Soal Penggunaan Huruf Kapital 2 Pdf

Lkpd Huruf Kapital Pdf
Lkpd Huruf Kapital Pdf

Lkpd Huruf Kapital Pdf

Huruf Kapital Dan Tanda Baca Pdf
Huruf Kapital Dan Tanda Baca Pdf

Huruf Kapital Dan Tanda Baca Pdf

Huruf Kapital 1252962 Putri Retno Live Worksheets
Huruf Kapital 1252962 Putri Retno Live Worksheets

Huruf Kapital 1252962 Putri Retno Live Worksheets

Soal Huruf Kapital Pdf Pdf
Soal Huruf Kapital Pdf Pdf

Soal Huruf Kapital Pdf Pdf

Worksheet Huruf Kapital Pdf
Worksheet Huruf Kapital Pdf

Worksheet Huruf Kapital Pdf

Soal Penggunaan Huruf Kapital Pdf
Soal Penggunaan Huruf Kapital Pdf

Soal Penggunaan Huruf Kapital Pdf

Comments are closed.