Simplify your online presence. Elevate your brand.

Pdf Type Inference For A Polynomial Lambda Calculus

Typed Lambda Calculus Calculus Of Constructions Download Free Pdf
Typed Lambda Calculus Calculus Of Constructions Download Free Pdf

Typed Lambda Calculus Calculus Of Constructions Download Free Pdf We design a type assignment system for the λ calculus (sta), which assigns to λ terms as types (a proper subset of) sll formulas, in such a way that typable terms inherit the good complexity. A soft type system with ml like polymorphism that enjoys decidable typechecking, type inference and typability problems and gives polynomial time computational guarantees for the running time of typed programs is presented.

Pdf Type Inference For A Polynomial Lambda Calculus
Pdf Type Inference For A Polynomial Lambda Calculus

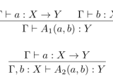
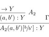
Pdf Type Inference For A Polynomial Lambda Calculus We conjecture that, for the whole system, the type inference is undecidable, but our algorithm can be used for checking the typability of some particular terms. We study the type inference problem for the soft type assignment system (sta) for lambda calculus introduced in [1], which is correct and complete for polynomial time computations. We study the type inference problem for the soft type assignment system (sta) for λ calculus introduced in [1], which is correct and complete for polynomial time computations. Types for proofs and programs 2008, types’08, luogo dell'evento torino data dell'evento 26 marzo 2008 n. volume 5497 pagine (da) 136 pagine (a) 152 titolo della rivista lecture notes in computer science url del prodotto (archivi open access, fulltext su sito editore, etc.) di.unito.it %7elambda biblio entry gaboardironchi08types tutti gli autori.

Pdf Linear Lambda Calculus And Deep Inference
Pdf Linear Lambda Calculus And Deep Inference

Pdf Linear Lambda Calculus And Deep Inference We study the type inference problem for the soft type assignment system (sta) for λ calculus introduced in [1], which is correct and complete for polynomial time computations. Types for proofs and programs 2008, types’08, luogo dell'evento torino data dell'evento 26 marzo 2008 n. volume 5497 pagine (da) 136 pagine (a) 152 titolo della rivista lecture notes in computer science url del prodotto (archivi open access, fulltext su sito editore, etc.) di.unito.it %7elambda biblio entry gaboardironchi08types tutti gli autori. Relationship between terms and types. consequently, we begin this inquiry of transformer architectures for typed lambda calculi by exploring the e ect of transformer warm up and optimizer selection in the task of type inference: i.e., predicting the types of lambda alculus terms using only transformers. we nd that the optimization landscape. We now present an algorithm that, when given a typing context Γ and an expression e, produces a set of constraints—equations between types (including type variables)—that must be satisfied in order for e to be well typed in Γ. Because simply typed λ calculus is a syntax directed type system, an unannotated term determines an isomorphic candidate type derivation, where all types are unknown: they are distinct type variables. We present a polymorphic type system for lambda calculus ensuring that well typed programs can be executed in polynomial time: dual light a ne logic (dlal). dlal has a simple type language with a linear and an intuitionistic type arrow, and one modality.

Pdf Lambda Calculus With Types By Henk Barendregt 9780521766142
Pdf Lambda Calculus With Types By Henk Barendregt 9780521766142

Pdf Lambda Calculus With Types By Henk Barendregt 9780521766142 Relationship between terms and types. consequently, we begin this inquiry of transformer architectures for typed lambda calculi by exploring the e ect of transformer warm up and optimizer selection in the task of type inference: i.e., predicting the types of lambda alculus terms using only transformers. we nd that the optimization landscape. We now present an algorithm that, when given a typing context Γ and an expression e, produces a set of constraints—equations between types (including type variables)—that must be satisfied in order for e to be well typed in Γ. Because simply typed λ calculus is a syntax directed type system, an unannotated term determines an isomorphic candidate type derivation, where all types are unknown: they are distinct type variables. We present a polymorphic type system for lambda calculus ensuring that well typed programs can be executed in polynomial time: dual light a ne logic (dlal). dlal has a simple type language with a linear and an intuitionistic type arrow, and one modality.

Comments are closed.