Simplify your online presence. Elevate your brand.

Notes And Cases In Remedial Law Evidence Vol Iv Centralbooks

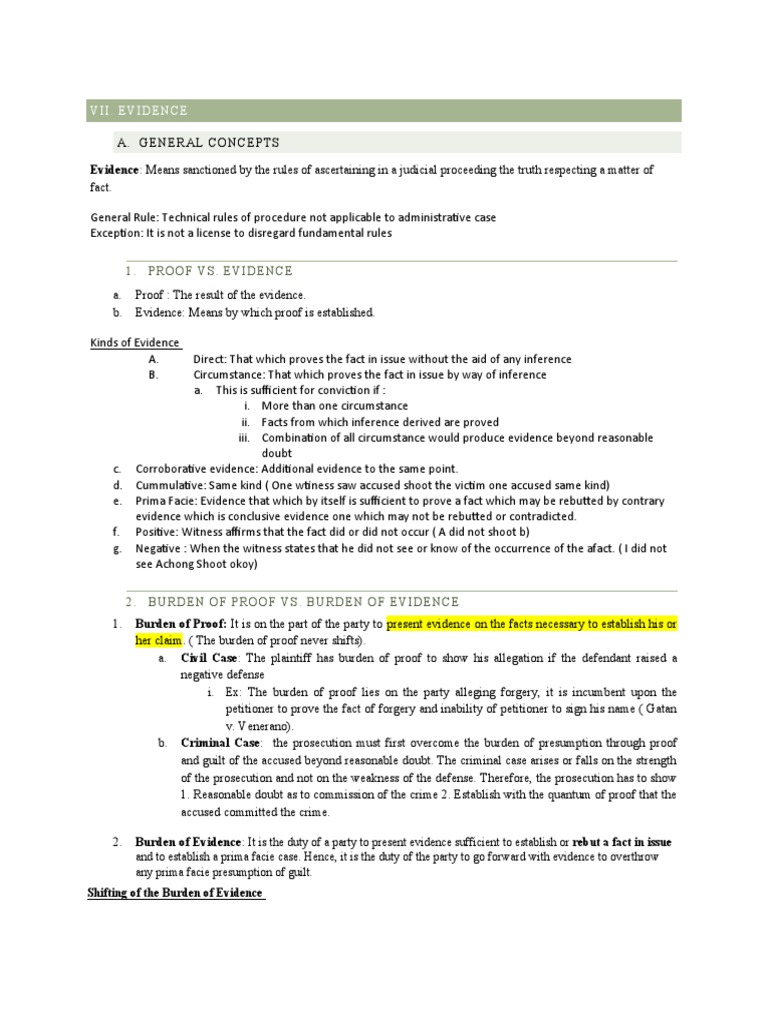
Remedial Law Evidence Pdf Burden Of Proof Law Evidence Law
Remedial Law Evidence Pdf Burden Of Proof Law Evidence Law

Remedial Law Evidence Pdf Burden Of Proof Law Evidence Law Reliable text book for law students taking evidence, remedial law review and reviewees preparing for the bar. useful to trial lawyers and the bench. Each rule and section s are highlighted by the decisions of our sc, and in the absence thereof by the us fsc decisions and the notes from the us congress. reliable text book for law students taking evidence, remedial law review and reviewees preparing for the bar.

Remedial Law Evidence Pdf Burden Of Proof Law Evidence Law
Remedial Law Evidence Pdf Burden Of Proof Law Evidence Law

Remedial Law Evidence Pdf Burden Of Proof Law Evidence Law Moya (2020) evidence rem vol. iv remedial law notes and cases in by salvador ii. Notes and cases in remedial law (civil procedure) vol. i part 1. A managing partner and head litigator of moya ablola ebarle law firm, he is also a pre bar reviewer in remedial law at the up law center, villasis law center, and powerhaus review center; chair’s cases (criminal law) at the legal edge and recoletos review center. Notes and cases in remedial law (evidence) vol. iv dean salvador n. moya ii, dcl ₱ 2,050.00.

Remedial Law Golden Notes Pdf Evidence Law Jurisdiction
Remedial Law Golden Notes Pdf Evidence Law Jurisdiction

Remedial Law Golden Notes Pdf Evidence Law Jurisdiction A managing partner and head litigator of moya ablola ebarle law firm, he is also a pre bar reviewer in remedial law at the up law center, villasis law center, and powerhaus review center; chair’s cases (criminal law) at the legal edge and recoletos review center. Notes and cases in remedial law (evidence) vol. iv dean salvador n. moya ii, dcl ₱ 2,050.00. Evidence 2020 rem vol. iv notes and cases in remedial law by salvador moya ii hard bound with plastic cover all our law books are brand new. if you need other law books, don't hesitate to message us. Home details for: notes and cases in remedial law volume iv normal view marc view isbd view. Each rule and section s are highlighted by the decisions of our sc, and in the absence thereof by the us fsc decisions and the notes from the us congress. reliable text book for law students taking evidence, remedial law review and reviewees preparing for the bar. Remedial law: the revised rules on evidence (volume iv) hilarion c. mogello, richard c. mogello ₱ 1,180.00 add to wishlist add to cart.

Review Notes Remedial Law Pdf
Review Notes Remedial Law Pdf

Review Notes Remedial Law Pdf Evidence 2020 rem vol. iv notes and cases in remedial law by salvador moya ii hard bound with plastic cover all our law books are brand new. if you need other law books, don't hesitate to message us. Home details for: notes and cases in remedial law volume iv normal view marc view isbd view. Each rule and section s are highlighted by the decisions of our sc, and in the absence thereof by the us fsc decisions and the notes from the us congress. reliable text book for law students taking evidence, remedial law review and reviewees preparing for the bar. Remedial law: the revised rules on evidence (volume iv) hilarion c. mogello, richard c. mogello ₱ 1,180.00 add to wishlist add to cart.

Remedial Law Review 1 Notes Pdf In Rem Jurisdiction Lawsuit
Remedial Law Review 1 Notes Pdf In Rem Jurisdiction Lawsuit

Remedial Law Review 1 Notes Pdf In Rem Jurisdiction Lawsuit Each rule and section s are highlighted by the decisions of our sc, and in the absence thereof by the us fsc decisions and the notes from the us congress. reliable text book for law students taking evidence, remedial law review and reviewees preparing for the bar. Remedial law: the revised rules on evidence (volume iv) hilarion c. mogello, richard c. mogello ₱ 1,180.00 add to wishlist add to cart.

Notes And Cases In Remedial Law Evidence Vol Iv Centralbooks
Notes And Cases In Remedial Law Evidence Vol Iv Centralbooks

Notes And Cases In Remedial Law Evidence Vol Iv Centralbooks

Comments are closed.