Simplify your online presence. Elevate your brand.

Name Numerology 01 Pdf

Name Numerology 01 Pdf
Name Numerology 01 Pdf

Name Numerology 01 Pdf Name numerology 01 free download as pdf file (.pdf), text file (.txt) or read online for free. In numerology, all numbers develop from and are connected to the absolute number, 1, for this number represents the expression of the ego, without which human life is expressionless and would cease to exist.

Numerology Pdf
Numerology Pdf

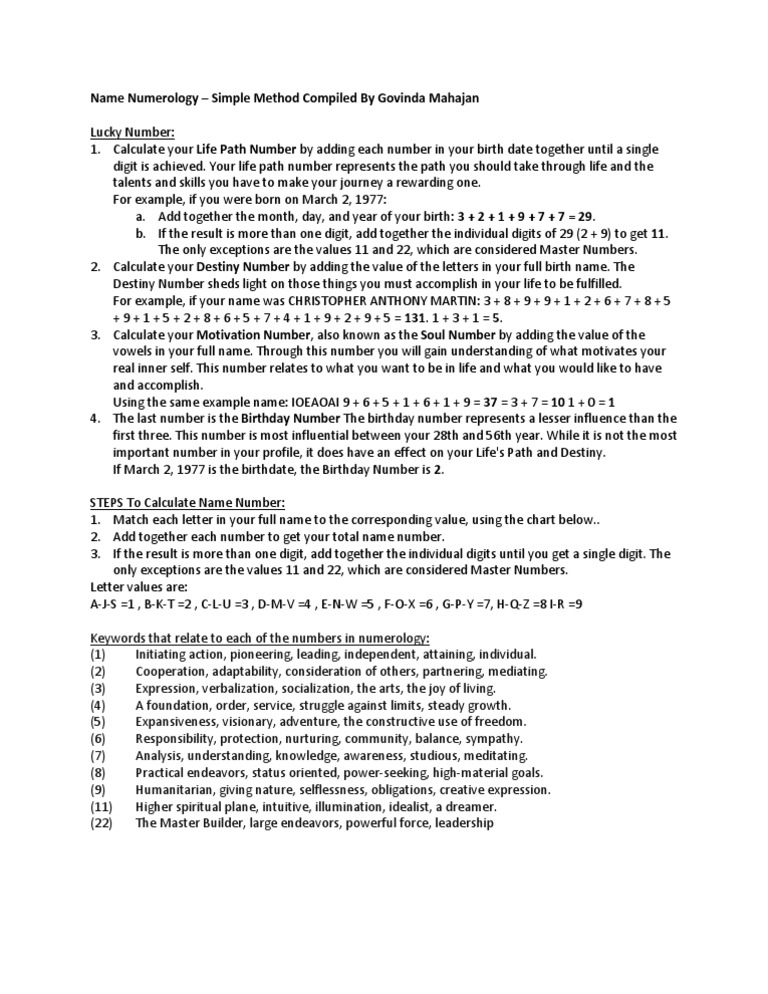
Numerology Pdf In astrology, the key relates the planets' positions at a person's birth with the person's traits; in palm reading, the key relates the lines and bumps of the hand with a person's characteristics; and, in numerology, the key relates a person's name and birthdate with that person's nature. The numerology name calculator handbook provides an overview of numerology, its origins, and how to calculate various numerology numbers such as life path, destiny, soul, and personality numbers. Enter the full birth name in the first blue row (one letter per cell). below each letter enter its value in the second row. copy only the values of the vowels in the third row. copy only the values of the consonants in the fourth row. The complete name number, which reflects the overall strength of a name, is important for understanding personal characteristics and balancing any shortcomings from the ruling number.

Name Numerology Pdfcoffee Com
Name Numerology Pdfcoffee Com

Name Numerology Pdfcoffee Com Cli.re royalnumerology life reading by birth date numerology chart name number numerology value calculator numerology number for name and date of birth numerology how to. There are many people who change their names, or the spelling of their names, for the different trend that the numbers can bring about, and many people believe that certain numbers are lucky for them. When a person changes his name, the primary motivations and attitudes remain, but are often modified by new and different emphases derived from the soul urge of the new name. Readers will discover how to calculate their psychic, name, and destiny numbers, and learn how these numbers correlate with the nine planets, influencing various facets of life, including personality, intelligence, talents, and well being.

Numerology Pdf
Numerology Pdf

Numerology Pdf

Numerology Books Pdf Pdf
Numerology Books Pdf Pdf

Numerology Books Pdf Pdf

Numerology Pdf
Numerology Pdf

Numerology Pdf

Numerology E Book Pdf
Numerology E Book Pdf

Numerology E Book Pdf

What Is Name Numerology
What Is Name Numerology

What Is Name Numerology

Name Numerology Calculator Vedic Healthcareukraine
Name Numerology Calculator Vedic Healthcareukraine

Name Numerology Calculator Vedic Healthcareukraine

1 Numerology Pdf Free Pdf Ebook Pdf
1 Numerology Pdf Free Pdf Ebook Pdf

1 Numerology Pdf Free Pdf Ebook Pdf

Numerology Pdf
Numerology Pdf

Numerology Pdf

Numerology 161006142503 Pdf Pdf
Numerology 161006142503 Pdf Pdf

Numerology 161006142503 Pdf Pdf

Numerology Pdf
Numerology Pdf

Numerology Pdf

Numerology 1 Compressed Pdf Compassion Soul
Numerology 1 Compressed Pdf Compassion Soul

Numerology 1 Compressed Pdf Compassion Soul

Numerology Name Calculator Handbook
Numerology Name Calculator Handbook

Numerology Name Calculator Handbook

Numerology Course Full Pdf Pdf Planets In Astrology Planets
Numerology Course Full Pdf Pdf Planets In Astrology Planets

Numerology Course Full Pdf Pdf Planets In Astrology Planets

Name Alignment For Success In Numerology Pdf Cognition
Name Alignment For Success In Numerology Pdf Cognition

Name Alignment For Success In Numerology Pdf Cognition

Name Numerology Pdf Numbers Behavior Modification
Name Numerology Pdf Numbers Behavior Modification

Name Numerology Pdf Numbers Behavior Modification

Numerology Pdf Hindu Astrology Planets
Numerology Pdf Hindu Astrology Planets

Numerology Pdf Hindu Astrology Planets

6 Numerology Templates Pdf Anger Consonant
6 Numerology Templates Pdf Anger Consonant

6 Numerology Templates Pdf Anger Consonant

Numerology Complete Course Pdf Step By Step Guide
Numerology Complete Course Pdf Step By Step Guide

Numerology Complete Course Pdf Step By Step Guide

Name Guide Numerology Report Timely Guidance
Name Guide Numerology Report Timely Guidance

Name Guide Numerology Report Timely Guidance

Numerology The Secrets Of Numbers In Your Life Nature Message
Numerology The Secrets Of Numbers In Your Life Nature Message

Numerology The Secrets Of Numbers In Your Life Nature Message

Numerology Pdf
Numerology Pdf

Numerology Pdf

Numerology Pdf Prayer Meditation
Numerology Pdf Prayer Meditation

Numerology Pdf Prayer Meditation

Numerology Pdf Intuition Psychology
Numerology Pdf Intuition Psychology

Numerology Pdf Intuition Psychology

Book Title Numerology Unveiled A Guide To Energizing Your Birth
Book Title Numerology Unveiled A Guide To Energizing Your Birth

Book Title Numerology Unveiled A Guide To Energizing Your Birth

Numerology Pdf English 1 Pdf
Numerology Pdf English 1 Pdf

Numerology Pdf English 1 Pdf

Numerology Pdf
Numerology Pdf

Numerology Pdf

Numerology And Name Pdf Karma Reincarnation
Numerology And Name Pdf Karma Reincarnation

Numerology And Name Pdf Karma Reincarnation

Numerology Pdf
Numerology Pdf

Numerology Pdf

Numerology Guidebook Pdf Akvilesava
Numerology Guidebook Pdf Akvilesava

Numerology Guidebook Pdf Akvilesava

Numerology Complete Course Pdf Step By Step Guide
Numerology Complete Course Pdf Step By Step Guide

Numerology Complete Course Pdf Step By Step Guide

Name Numerology
Name Numerology

Name Numerology

Master Numbers In Numerology Pdf Reincarnation Soul
Master Numbers In Numerology Pdf Reincarnation Soul

Master Numbers In Numerology Pdf Reincarnation Soul

Comments are closed.