Simplify your online presence. Elevate your brand.

Media Pembelajaran Pai Kelas 3 Ppl 1 Rpp 1 Pdf

Media Pembelajaran Pai Kelas 3 Ppl 1 Rpp 1 Pdf
Media Pembelajaran Pai Kelas 3 Ppl 1 Rpp 1 Pdf

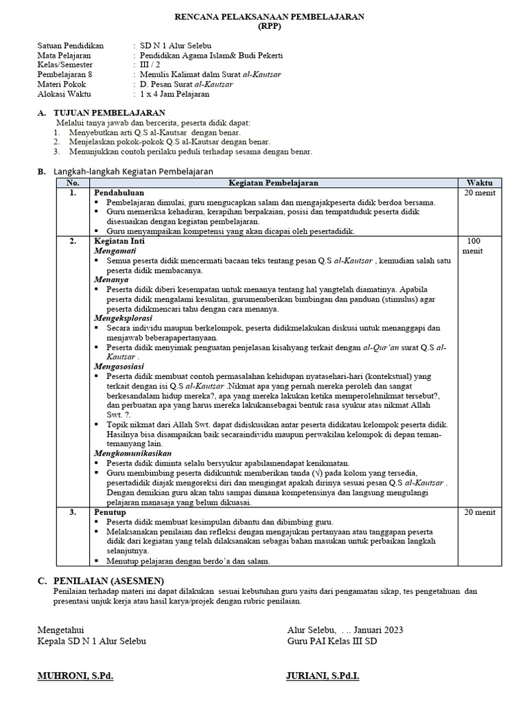
Media Pembelajaran Pai Kelas 3 Ppl 1 Rpp 1 Pdf Pembuatan rpp pai kelas 3 semester 1 untuk mewujudkan pembelajaran yang adaptif. assesmen tertulis dan lisan. “bagaimana karya ini menurut anda? mohon bantuannya untuk mengisi kuesioner serta saran tentang hal yang perlu ditingkatkan.”. Lengkapi perangkat pembelajaran agama islam kamu. dengan mendownload rpp 1 lembar pai sd kelas 3 semester 1 dan 2 kurikulum 2013 terbaru.

Modul Pembelajaran Pai Kelas Iii Sd Pdf
Modul Pembelajaran Pai Kelas Iii Sd Pdf

Modul Pembelajaran Pai Kelas Iii Sd Pdf Rpp pai kelas 3 semester 1 rencana pelaksanaan pembelajaran ini membahas tentang sikap percaya diri nabi muhammad saw. siswa akan belajar mengenali sikap percaya diri nabi dan menerapkannya dalam kehidupan sehari hari. Dibandingkan dengan rpp, modul ajar pai kelas 3 sd lebih lengkap, komprehensif dan juga cukup tebal. bukan tanpa alasan, di era kurikulum merdeka kita sebagai guru dituntut untuk bisa mengenal murid secara lebih mendalam baik dari segi kompetensinya, psikomotorik, hingga afeksinya. Didalam file rpp 1 lembar pai ini telah termuat materi mulai dari pembelajaran pertama hingga pembelajaran terakhir pada pembelajaran di semester 2, sehingga semuanya telah lengkap dan dapat digunakan sesuai kebutuhan. Strategi pembelajaran sekolah dasar pai kelas 3 yang ditempuh oleh setiap guru pastinya berbeda. diperlukan kreativitas serta inisiatif sendiri dalam membuat rpp 1 halaman lembar.

6 Rpp 1 Lembar Pai Kelas 3 Sem 2 Www Kherysuryawan Id Pdf
6 Rpp 1 Lembar Pai Kelas 3 Sem 2 Www Kherysuryawan Id Pdf

6 Rpp 1 Lembar Pai Kelas 3 Sem 2 Www Kherysuryawan Id Pdf Didalam file rpp 1 lembar pai ini telah termuat materi mulai dari pembelajaran pertama hingga pembelajaran terakhir pada pembelajaran di semester 2, sehingga semuanya telah lengkap dan dapat digunakan sesuai kebutuhan. Strategi pembelajaran sekolah dasar pai kelas 3 yang ditempuh oleh setiap guru pastinya berbeda. diperlukan kreativitas serta inisiatif sendiri dalam membuat rpp 1 halaman lembar. Silabus dan rpp 1 lembar pai & bp kelas 3 jenjang sd semester 1 (revisi terbaru) dapat anda download di akhir postingan ini nanti. perangkat pembelajaran merupakan komponen yang harus disiapkan oleh guru tenaga pendidik sebelum melaksanakan pembelajaran. Modul ajar pai kelas 3| modul ajar pai kelas 3 dilengkapi prota, promes, cp, atp, lkpd, dll. 2 semester semua dalam satu file. terlengkap!. Sebagaimana yang sudah dijelaskan tadi, para tenaga pendidik seperti anda memang membutuhkan keberadaan rpp. untuk memudahkan pembuatan serta pengembangan sesuai dengan materi yang ada di sekolah berikut link download rpp pai kelas 3 sd semester 1 1 lembar yang bisa diuduh. Setelah membaca paparan mengenai 3 komponen tersebut di atas, pada postingan kali ini saya ingin berbagi rpp pendidikan agama islam dan budi pekerti (pai bp) k13 kelas iii semester 1 untuk jenjang sd. untuk mengunduhnya rpp silahkan klik disini.

Pai Kelas 3 Pdf
Pai Kelas 3 Pdf

Pai Kelas 3 Pdf Silabus dan rpp 1 lembar pai & bp kelas 3 jenjang sd semester 1 (revisi terbaru) dapat anda download di akhir postingan ini nanti. perangkat pembelajaran merupakan komponen yang harus disiapkan oleh guru tenaga pendidik sebelum melaksanakan pembelajaran. Modul ajar pai kelas 3| modul ajar pai kelas 3 dilengkapi prota, promes, cp, atp, lkpd, dll. 2 semester semua dalam satu file. terlengkap!. Sebagaimana yang sudah dijelaskan tadi, para tenaga pendidik seperti anda memang membutuhkan keberadaan rpp. untuk memudahkan pembuatan serta pengembangan sesuai dengan materi yang ada di sekolah berikut link download rpp pai kelas 3 sd semester 1 1 lembar yang bisa diuduh. Setelah membaca paparan mengenai 3 komponen tersebut di atas, pada postingan kali ini saya ingin berbagi rpp pendidikan agama islam dan budi pekerti (pai bp) k13 kelas iii semester 1 untuk jenjang sd. untuk mengunduhnya rpp silahkan klik disini.

Modul Ajar Pai Kelas 3 Pdf
Modul Ajar Pai Kelas 3 Pdf

Modul Ajar Pai Kelas 3 Pdf Sebagaimana yang sudah dijelaskan tadi, para tenaga pendidik seperti anda memang membutuhkan keberadaan rpp. untuk memudahkan pembuatan serta pengembangan sesuai dengan materi yang ada di sekolah berikut link download rpp pai kelas 3 sd semester 1 1 lembar yang bisa diuduh. Setelah membaca paparan mengenai 3 komponen tersebut di atas, pada postingan kali ini saya ingin berbagi rpp pendidikan agama islam dan budi pekerti (pai bp) k13 kelas iii semester 1 untuk jenjang sd. untuk mengunduhnya rpp silahkan klik disini.

Lkpd Pai Kelas 3 Sem 1 Tahun 2022 2023 Pdf
Lkpd Pai Kelas 3 Sem 1 Tahun 2022 2023 Pdf

Lkpd Pai Kelas 3 Sem 1 Tahun 2022 2023 Pdf

Comments are closed.