Simplify your online presence. Elevate your brand.

Mca 2024 Standard Results

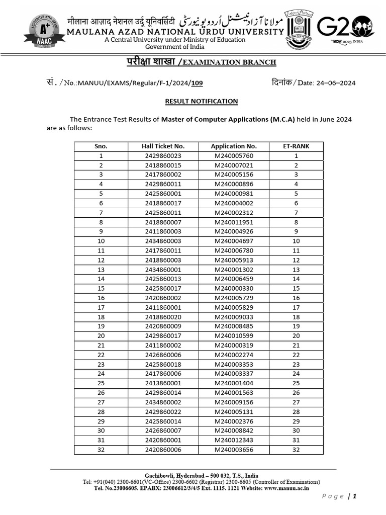
Mca Et 2024 Results Pdf
Mca Et 2024 Results Pdf

Mca Et 2024 Results Pdf This isr provides your student's results on the minnesota statewide assessments taken in the spring of 2024 to measure student learning of the minnesota academic standards. Since this report is only a single snapshot of a student’s learning of the academic standards that year, it is important to consider results alongside other important measures of student learning, like classroom tests and conversations with individual teachers and other school staff.

Bca 24 09 2024 4th Data Pdf
Bca 24 09 2024 4th Data Pdf

Bca 24 09 2024 4th Data Pdf To find out how your child's school or district is performing and how scores break down among student groups, click here. the minnesota department of education (mde) is sharing results from the. This document contains the end semester examination results for mca students for semester iii, conducted in july 2024. it lists students' registration numbers, names, course codes, titles, cia scores, and grades. Across all grades and subjects, students who took the mca in 2024 scored about the same percent proficient as last year. results for student groups by race and ethnicity changed slightly. “we. Test results summary are available for assessments administered in 2021, 2022, 2023, 2024, and 2025. summary level data from the assessments include demographic information, achievement performance level information, and various test scores and data as applicable.

Announcing The 2024 Mca Finalists Smps Website
Announcing The 2024 Mca Finalists Smps Website

Announcing The 2024 Mca Finalists Smps Website Across all grades and subjects, students who took the mca in 2024 scored about the same percent proficient as last year. results for student groups by race and ethnicity changed slightly. “we. Test results summary are available for assessments administered in 2021, 2022, 2023, 2024, and 2025. summary level data from the assessments include demographic information, achievement performance level information, and various test scores and data as applicable. An individual student report (isr) is generated for every student who participated in the standards based accountability assessments and, for students who did not participate, the isr indicates why results are not included. Resources are included for how to use and interpret mca, mtas, access and wida alternate access individual student results. districts and schools use these results as one part of their balanced and comprehensive assessment system, which should include a variety of assessment types. Test results summary are available for assessments administered in 2021, 2022, 2023, and 2024. summary level data from the assessments, including demographic information, achievement level information, and various test scores and data as applicable. Once new academic standards are fully implemented, the new series of assessments are administered to assess learning of the new standards. this document provides information on the revised minnesota academic standards and new statewide assessments in science.

Internalmark Mca 2024 Pdf
Internalmark Mca 2024 Pdf

Internalmark Mca 2024 Pdf An individual student report (isr) is generated for every student who participated in the standards based accountability assessments and, for students who did not participate, the isr indicates why results are not included. Resources are included for how to use and interpret mca, mtas, access and wida alternate access individual student results. districts and schools use these results as one part of their balanced and comprehensive assessment system, which should include a variety of assessment types. Test results summary are available for assessments administered in 2021, 2022, 2023, and 2024. summary level data from the assessments, including demographic information, achievement level information, and various test scores and data as applicable. Once new academic standards are fully implemented, the new series of assessments are administered to assess learning of the new standards. this document provides information on the revised minnesota academic standards and new statewide assessments in science.

Comments are closed.