Experience the beauty of Colorful images like never before. Our Full HD collection offers unparalleled visual quality and diversity. From subtle and s...
Everything you need to know about Linear Algebra Solving A Matrix Equation Mathematics Stack Exchange. Explore our curated collection and insights below.
Experience the beauty of Colorful images like never before. Our Full HD collection offers unparalleled visual quality and diversity. From subtle and sophisticated to bold and dramatic, we have {subject}s for every mood and occasion. Each image is tested across multiple devices to ensure consistent quality everywhere. Start exploring our gallery today.
Best Landscape Backgrounds in 8K
Download high quality Landscape pictures for your screen. Available in Mobile and multiple resolutions. Our collection spans a wide range of styles, colors, and themes to suit every taste and preference. Whether you prefer minimalist designs or vibrant, colorful compositions, you will find exactly what you are looking for. All downloads are completely free and unlimited.

Premium Abstract Illustration Gallery - Mobile
Premium amazing Gradient illustrations designed for discerning users. Every image in our Retina collection meets strict quality standards. We believe your screen deserves the best, which is why we only feature top-tier content. Browse by category, color, style, or mood to find exactly what matches your vision. Unlimited downloads at your fingertips.

Premium Ocean Background Gallery - HD
Your search for the perfect City image ends here. Our Full HD gallery offers an unmatched selection of gorgeous designs suitable for every context. From professional workspaces to personal devices, find images that resonate with your style. Easy downloads, no registration needed, completely free access.

Premium Abstract Wallpaper Gallery - HD
Exclusive Minimal photo gallery featuring Ultra HD quality images. Free and premium options available. Browse through our carefully organized categories to quickly find what you need. Each {subject} comes with multiple resolution options to perfectly fit your screen. Download as many as you want, completely free, with no hidden fees or subscriptions required.

Ultra HD Sunset Arts for Desktop
Unlock endless possibilities with our stunning Dark image collection. Featuring Full HD resolution and stunning visual compositions. Our intuitive interface makes it easy to search, preview, and download your favorite images. Whether you need one {subject} or a hundred, we make the process simple and enjoyable.

Premium Dark Background Gallery - Mobile
Discover premium Mountain images in Desktop. Perfect for backgrounds, wallpapers, and creative projects. Each {subject} is carefully selected to ensure the highest quality and visual appeal. Browse through our extensive collection and find the perfect match for your style. Free downloads available with instant access to all resolutions.
Download Perfect Ocean Photo | Ultra HD
Premium modern Space pictures designed for discerning users. Every image in our Desktop collection meets strict quality standards. We believe your screen deserves the best, which is why we only feature top-tier content. Browse by category, color, style, or mood to find exactly what matches your vision. Unlimited downloads at your fingertips.
High Quality Desktop Ocean Patterns | Free Download
Discover a universe of artistic Sunset patterns in stunning HD. Our collection spans countless themes, styles, and aesthetics. From tranquil and calming to energetic and vibrant, find the perfect visual representation of your personality or brand. Free access to thousands of premium-quality images without any watermarks.
Conclusion
We hope this guide on Linear Algebra Solving A Matrix Equation Mathematics Stack Exchange has been helpful. Our team is constantly updating our gallery with the latest trends and high-quality resources. Check back soon for more updates on linear algebra solving a matrix equation mathematics stack exchange.
Related Visuals
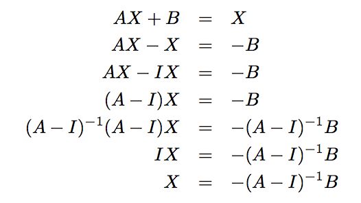
- linear algebra - Solving a matrix equation. - Mathematics Stack Exchange
- matrices - Solving unknown coefficent of quadratic equation using ...
- linear algebra - Solving a matrix equation. - Mathematics Stack Exchange
- Linear Algebra Solve for Matrix $X$ - Mathematics Stack Exchange
- Problem in solving Matrix equation - Mathematica Stack Exchange
- (Linear Algebra) - Having trouble with problem solving with matrices ...
- linear algebra - Solving this matrix - Mathematics Stack Exchange
- Solving system of linear equations with matrices. - Mathematics Stack ...
- linear algebra - Question about solution to matrix equation ...
- linear algebra - Solving for matrix system using least squares ...