Simplify your online presence. Elevate your brand.

Linear Algebra Simplify Matrix Expression And General Tips For

Linear Algebra Simplify Matrix Expression And General Tips For
Linear Algebra Simplify Matrix Expression And General Tips For

Linear Algebra Simplify Matrix Expression And General Tips For The goal is to simplify the matrix so that each row corresponds to a single variable with its value, providing a clear and immediate solution to the system. this approach extends the elimination method fully to a systematic, straightforward procedure for solving any system of linear equations. A matrix calculator is designed to rapidly and precisely simplify difficult matrix operations. it eliminates mistakes, removes hand computations, and boosts mathematical problem solving efficiency.

Ixl Simplify Matrix Expressions Algebra 2 Practice
Ixl Simplify Matrix Expressions Algebra 2 Practice

Ixl Simplify Matrix Expressions Algebra 2 Practice I was wondering if someone could help me out to see why the matrix and vectors simplify like that, and maybe give a few in general tips to simplifying matrix expressions in general?. Free math problem solver answers your algebra, geometry, trigonometry, calculus, and statistics homework questions with step by step explanations, just like a math tutor. In the present chapter we consider matrices for their own sake. while some of the motivation comes from linear equations, it turns out that matrices can be multiplied and added and so form an algebraic system somewhat analogous to the real numbers. Explore our comprehensive guide to linear algebra. from basic matrix operations to advanced topics like eigenvalues, qr decomposition, and vector spaces, we provide detailed analytical solutions and interactive calculators to help you master the core concepts of higher mathematics.

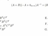
Algebra Simplify The Expression School And Work Schizophrenia
Algebra Simplify The Expression School And Work Schizophrenia

Algebra Simplify The Expression School And Work Schizophrenia In the present chapter we consider matrices for their own sake. while some of the motivation comes from linear equations, it turns out that matrices can be multiplied and added and so form an algebraic system somewhat analogous to the real numbers. Explore our comprehensive guide to linear algebra. from basic matrix operations to advanced topics like eigenvalues, qr decomposition, and vector spaces, we provide detailed analytical solutions and interactive calculators to help you master the core concepts of higher mathematics. In these cases, the numbers represent the coefficients of the variables in the system. matrices often make solving systems of equations easier because they are not encumbered with variables. we will investigate this idea further in the next section, but first we will look at basic matrix operations. This topic covers: adding & subtracting matrices multiplying matrices by scalars multiplying matrices representing & solving linear systems with matrices matrix inverses matrix determinants matrices as transformations matrices applications. Simplification of the matrices reduces the computational complexity and makes it much more accurate, and makes the operations much more effortless. following is the description of some matrix operations that can be used to simplify matrices and matrix equations. Compute and simplify the matrix expression including transpose and inverse matrices . midterm exam of linear algebra (math 2568) at the ohio state university.

Linear Algebra Matrix Wizedu
Linear Algebra Matrix Wizedu

Linear Algebra Matrix Wizedu In these cases, the numbers represent the coefficients of the variables in the system. matrices often make solving systems of equations easier because they are not encumbered with variables. we will investigate this idea further in the next section, but first we will look at basic matrix operations. This topic covers: adding & subtracting matrices multiplying matrices by scalars multiplying matrices representing & solving linear systems with matrices matrix inverses matrix determinants matrices as transformations matrices applications. Simplification of the matrices reduces the computational complexity and makes it much more accurate, and makes the operations much more effortless. following is the description of some matrix operations that can be used to simplify matrices and matrix equations. Compute and simplify the matrix expression including transpose and inverse matrices . midterm exam of linear algebra (math 2568) at the ohio state university.

Comments are closed.