Simplify your online presence. Elevate your brand.

Limits At Infinity Shortcuts Youtube

Lecture 19 Limits At Infinity Part 3 Youtube
Lecture 19 Limits At Infinity Part 3 Youtube

Lecture 19 Limits At Infinity Part 3 Youtube You'll learn key shortcuts and techniques that are applicable to these types of functions, helping you tackle these types of limit problems efficiently. mastering these concepts will provide a. In this video, you will learn: how to identify limits at infinity in rational functions. techniques and shortcuts for quick evaluation. examples demonstrating the application of these shortcuts. in this module, we explore a method to remember the unit circle, a fundamental concept in trigonometry.

Lecture 19 Limits At Infinity Part 4 Youtube
Lecture 19 Limits At Infinity Part 4 Youtube

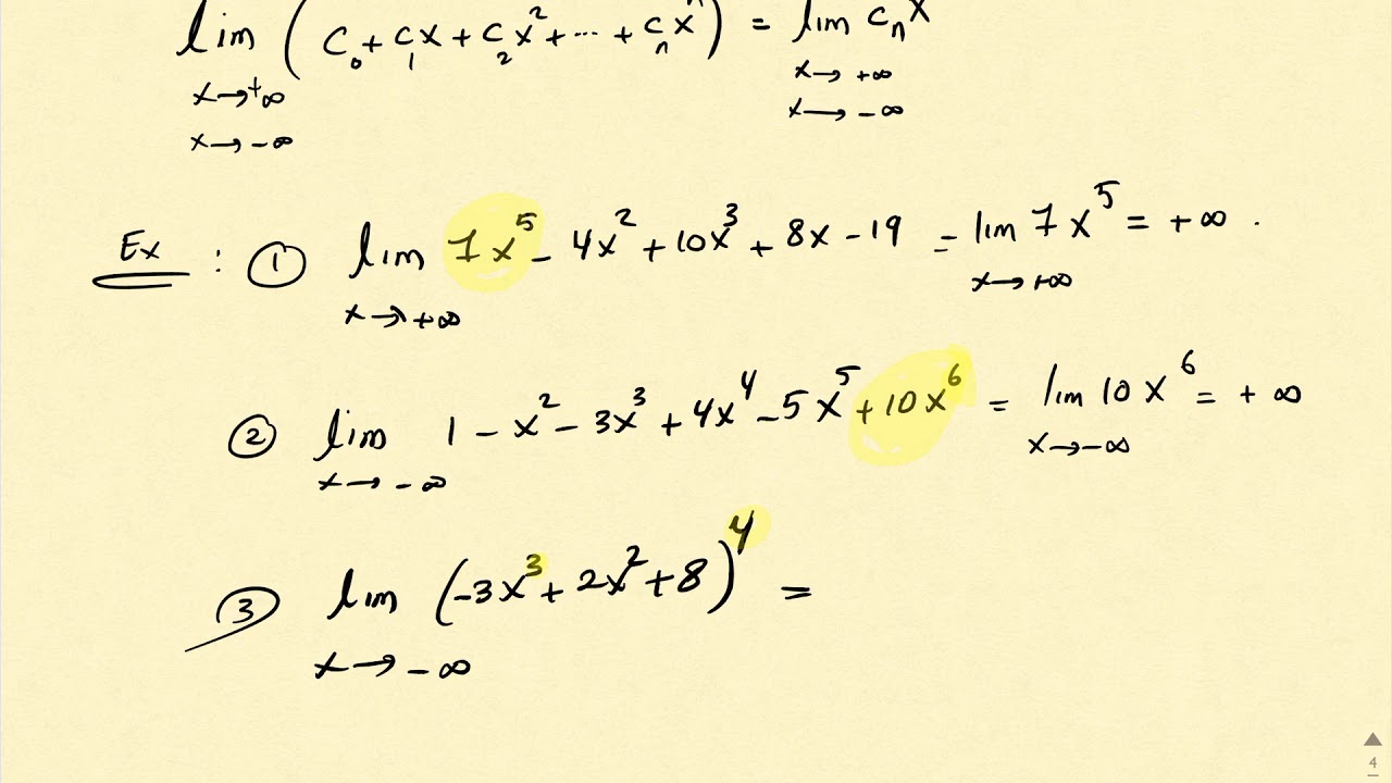
Lecture 19 Limits At Infinity Part 4 Youtube This is with reference to this video. if you could not watch the video, i have written the shortcut trick below. lets say we have a limit extended to infinity of a polynomial function n by a polyno. 18) limit of square root 19) limits using theorems 20) limit of difference quotient 21) another difference quotient limit 22) one sided limits 23) limits of piecewise defined functions 24) piecewise defined with "hole". Limits at infinity of rational functions calculus this video shows how to find the limits at infinity of rational functions using two methods. use the first method if your teacher wants a detailed solution. use the shortcut method in a multiple choice type of test where a detailed solution is not necessary. In this video i look at computing some limits as x approaches infinity or as x approaches negative infinity. the types of functions in these examples are rational functions so some of the.

2 Limits Shortcut Trick Youtube
2 Limits Shortcut Trick Youtube

2 Limits Shortcut Trick Youtube Limits at infinity of rational functions calculus this video shows how to find the limits at infinity of rational functions using two methods. use the first method if your teacher wants a detailed solution. use the shortcut method in a multiple choice type of test where a detailed solution is not necessary. In this video i look at computing some limits as x approaches infinity or as x approaches negative infinity. the types of functions in these examples are rational functions so some of the. Buy my book!: '1001 calculus problems for dummies' you can get it on my website: patrickjmt limits at infinity basic idea and shortcuts for rational functions. This video shows you 3 short cut tricks for finding limits at infinity. #mathematics #calculus #limits ******************************************* math tutorials on this channel are. Can limits at positive or negative infinity be determined algebraically? up to this point it seems that it's mostly just figuring out what "looks right" (or as sal calls it: "hand waving") as some variable approaches infinity. My question: why can't we have a limit that goes from x and x to infinity, and likewise for the y values? why can't we? i've always been taught that this is impossible, but i feel that this method is feasible. i ask you, the khan academy community, does this work, and what can we do with it?.

Limits At Infinity Youtube
Limits At Infinity Youtube

Limits At Infinity Youtube Buy my book!: '1001 calculus problems for dummies' you can get it on my website: patrickjmt limits at infinity basic idea and shortcuts for rational functions. This video shows you 3 short cut tricks for finding limits at infinity. #mathematics #calculus #limits ******************************************* math tutorials on this channel are. Can limits at positive or negative infinity be determined algebraically? up to this point it seems that it's mostly just figuring out what "looks right" (or as sal calls it: "hand waving") as some variable approaches infinity. My question: why can't we have a limit that goes from x and x to infinity, and likewise for the y values? why can't we? i've always been taught that this is impossible, but i feel that this method is feasible. i ask you, the khan academy community, does this work, and what can we do with it?.

Limits At Infinity Youtube
Limits At Infinity Youtube

Limits At Infinity Youtube Can limits at positive or negative infinity be determined algebraically? up to this point it seems that it's mostly just figuring out what "looks right" (or as sal calls it: "hand waving") as some variable approaches infinity. My question: why can't we have a limit that goes from x and x to infinity, and likewise for the y values? why can't we? i've always been taught that this is impossible, but i feel that this method is feasible. i ask you, the khan academy community, does this work, and what can we do with it?.

Limits At Infinity Part 2 Youtube
Limits At Infinity Part 2 Youtube

Limits At Infinity Part 2 Youtube

Comments are closed.