Simplify your online presence. Elevate your brand.

Learning Pascal X25 Classes And Objects

Topic27 Classes Objects 1 Pdf Class Computer Programming Method
Topic27 Classes Objects 1 Pdf Class Computer Programming Method

Topic27 Classes Objects 1 Pdf Class Computer Programming Method Learning pascal x25 classes and objects the free learning channel 1.49k subscribers subscribe. This tutorial is designed to be a definitive journey into the heart of object pascal's oop engine, moving from the basic syntax of classes to the sophisticated nuances of inheritance, polymorphism, and memory management.

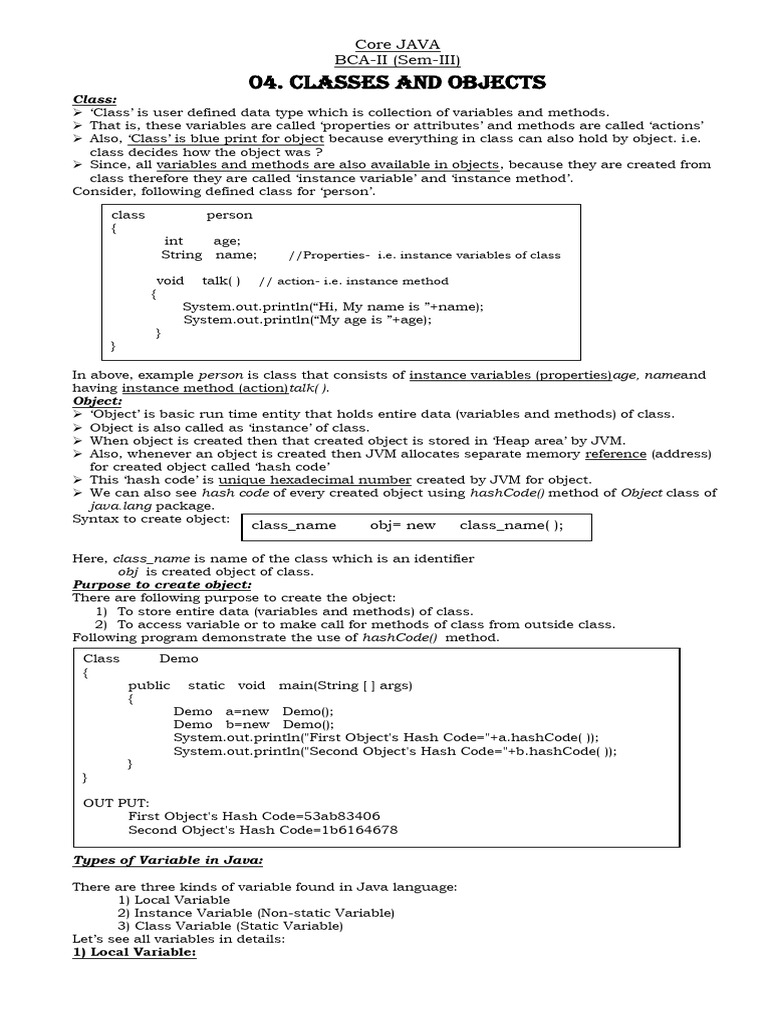
04 Classes And Objects Pdf
04 Classes And Objects Pdf

04 Classes And Objects Pdf Contains some introductory material at the beginning, and at the end quickly goes through more advanced topics like class references. enjoy, share and redistribute freely!. Welcome to the object pascal learning resources page! below you’ll find a curated collection of resources for learning object pascal across different implementations. It's a manual for new and existing object pascal developers and covers, among other things, the following: event updates, product news, and much more. I wanted to describe the modern object pascal: programming language with classes, units, generics, interfaces and other modern features you expect. i wanted to show how all the language features, basic and advanced, connect together into a consistent whole.

Lecture 2 Classes And Objects Pdf Method Computer Programming
Lecture 2 Classes And Objects Pdf Method Computer Programming

Lecture 2 Classes And Objects Pdf Method Computer Programming It's a manual for new and existing object pascal developers and covers, among other things, the following: event updates, product news, and much more. I wanted to describe the modern object pascal: programming language with classes, units, generics, interfaces and other modern features you expect. i wanted to show how all the language features, basic and advanced, connect together into a consistent whole. Fpc provides two oop implementations : objects and classes. the main documentation for objects is found in chapter 5 of the fpc language reference, and for classes in chapter 6. this tutorial describes the less often used "objects" implementation. Welcome to my free pascal cookbook! this is a collection of practical examples and tutorials for learning object pascal with the free pascal compiler (fpc) and lazarus ide. Please reuse it in learning and teaching programming with delphi. website themes, stock photos, etc. are excluded from individual reuse as they are provided by 3ʳᵈ parties. Instances of a class are also called 'objects', but do not confuse them with object pascal objects. in this tutorial, we will write 'object' for pascal objects and 'object' for the conceptual object or class instance.

Comments are closed.