Simplify your online presence. Elevate your brand.

Laplace Transforms Ex 2

Solved How Do I Evaluate These Laplace Transforms With The Chegg
Solved How Do I Evaluate These Laplace Transforms With The Chegg

Solved How Do I Evaluate These Laplace Transforms With The Chegg This document provides exercises on finding the laplace transform of various functions. it includes 40 examples of functions and their corresponding laplace transforms. This page titled 6.e: the laplace transform (exercises) is shared under a cc by sa 4.0 license and was authored, remixed, and or curated by jiří lebl via source content that was edited to the style and standards of the libretexts platform.

Laplace Transforms Pdf
Laplace Transforms Pdf

Laplace Transforms Pdf Free laplace transform calculator find the laplace and inverse laplace transforms of functions step by step. In this article on laplace transforms, we will learn about what laplace transforms is, the types of laplace transforms, the operations of laplace transforms, and many more in detail. Laplace transforms including computations,tables are presented with examples and solutions. Given a function f (s), if there is a function f(t) that is continuous on [0, ∞) and satisfies l{f} = f , then we say that f(t) is the inverse laplace transform of f (s) and employ the notion f = l−1{f }.

Laplace Transforms Basic Functions
Laplace Transforms Basic Functions

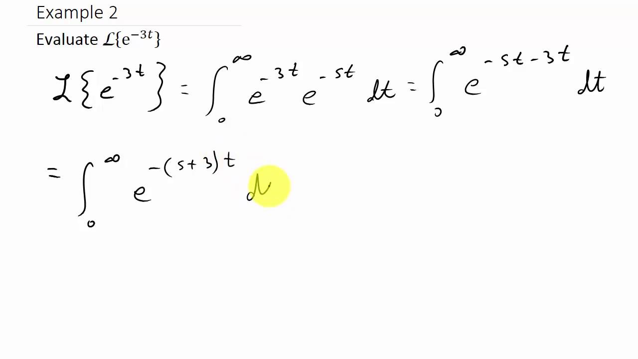
Laplace Transforms Basic Functions Laplace transforms including computations,tables are presented with examples and solutions. Given a function f (s), if there is a function f(t) that is continuous on [0, ∞) and satisfies l{f} = f , then we say that f(t) is the inverse laplace transform of f (s) and employ the notion f = l−1{f }. Question 2 use integration to find the laplace transform of f ( t ) = eat , t ≥ 0 where a is non zero constant. Ee2 mathematics: solutions to example sheet 5: laplace transforms 1. a) recalling1 that l( x) = sx(s) x(0), laplace transform the pair of odes using the initial conditions x(0) = y(0) = 1 to get 2(sx 1) (sy = x 1) 6=s. Pr i. laplace transform 1. find the laplace transform of the following functions. The laplace transform we'll be interested in signals de ̄ned for t ̧ 0 l(f = ) the laplace transform of a signal (function) de ̄ned by z f is the function f.

Other Transforms Of Laplace Transformsapply The Chegg
Other Transforms Of Laplace Transformsapply The Chegg

Other Transforms Of Laplace Transformsapply The Chegg Question 2 use integration to find the laplace transform of f ( t ) = eat , t ≥ 0 where a is non zero constant. Ee2 mathematics: solutions to example sheet 5: laplace transforms 1. a) recalling1 that l( x) = sx(s) x(0), laplace transform the pair of odes using the initial conditions x(0) = y(0) = 1 to get 2(sx 1) (sy = x 1) 6=s. Pr i. laplace transform 1. find the laplace transform of the following functions. The laplace transform we'll be interested in signals de ̄ned for t ̧ 0 l(f = ) the laplace transform of a signal (function) de ̄ned by z f is the function f.

Comments are closed.