Simplify your online presence. Elevate your brand.

Laplace Transform Table Engineering Decoration Examples

Laplace Transform Table Pdf
Laplace Transform Table Pdf

Laplace Transform Table Pdf Laplace transform definition: the laplace transform is a mathematical technique that converts a time domain function into a frequency domain function, simplifying the solving of differential equations. Laplace transforms including computations,tables are presented with examples and solutions.

Laplace Transform Table Engineering Decoration Examples
Laplace Transform Table Engineering Decoration Examples

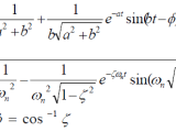
Laplace Transform Table Engineering Decoration Examples Comprehensive table of laplace transforms with formulas and examples. essential for solving differential equations in engineering and math. The application of laplace transform methods is particularly e ective for linear odes with constant coe cients, and for systems of such odes. to transform an ode, we need the appropriate initial values of the function involved and initial values of its derivatives. Practice with a laplace transform practice solver or online step by step solver to build fluency in partial fractions and time domain identification. for signal system work, use a laplace s domain calculator built into control toolboxes to compute transfer functions and responses. In these two examples the functions f and g are the same except at t = 0, so they have the same laplace transform. in the ̄rst case, f has no jump at t = 0, while in the second case g does.

Laplace Transform Table Engineering Decoration Examples
Laplace Transform Table Engineering Decoration Examples

Laplace Transform Table Engineering Decoration Examples Practice with a laplace transform practice solver or online step by step solver to build fluency in partial fractions and time domain identification. for signal system work, use a laplace s domain calculator built into control toolboxes to compute transfer functions and responses. In these two examples the functions f and g are the same except at t = 0, so they have the same laplace transform. in the ̄rst case, f has no jump at t = 0, while in the second case g does. This section is the table of laplace transforms that we’ll be using in the material. we give as wide a variety of laplace transforms as possible including some that aren’t often given in tables of laplace transforms. Master the essential laplace transform properties and rules that convert complex calculus into simple algebra for effective system analysis. This document provides a table of laplace transforms, listing 36 common functions and their corresponding laplace transforms. for each function f (t), it gives the laplace transform f (s). 18.031 laplace transform table properties and rules function f(t) a f(t) b g(t) eatf(t) f0(t) f00(t) f(n)(t) tf(t) tnf(t) u(t a)f(t a).

Laplace Transform Table Engineering Decoration Examples
Laplace Transform Table Engineering Decoration Examples

Laplace Transform Table Engineering Decoration Examples This section is the table of laplace transforms that we’ll be using in the material. we give as wide a variety of laplace transforms as possible including some that aren’t often given in tables of laplace transforms. Master the essential laplace transform properties and rules that convert complex calculus into simple algebra for effective system analysis. This document provides a table of laplace transforms, listing 36 common functions and their corresponding laplace transforms. for each function f (t), it gives the laplace transform f (s). 18.031 laplace transform table properties and rules function f(t) a f(t) b g(t) eatf(t) f0(t) f00(t) f(n)(t) tf(t) tnf(t) u(t a)f(t a).

Laplace Transform Table Pdf
Laplace Transform Table Pdf

Laplace Transform Table Pdf This document provides a table of laplace transforms, listing 36 common functions and their corresponding laplace transforms. for each function f (t), it gives the laplace transform f (s). 18.031 laplace transform table properties and rules function f(t) a f(t) b g(t) eatf(t) f0(t) f00(t) f(n)(t) tf(t) tnf(t) u(t a)f(t a).

Laplace Transform Table Pdf
Laplace Transform Table Pdf

Laplace Transform Table Pdf

Comments are closed.