Simplify your online presence. Elevate your brand.

Itp 2021

Itp 2021
Itp 2021

Itp 2021 Itp achievement 2021 merupakan penghargaan tertinggi yang diberikan itp kepada tokoh tokoh yang telah berdedikasi untuk itp serta mitra yang telah berkontribusi terhadap kemajuan itp. Immune thrombocytopenia (itp) is an autoimmune process resulting in increased destruction and inadequate production of platelets that can result in bleeding, fatigue, and reduced health related quality of life.

Jadwal Test Itp Juni 2023 Pdf Jakarta Indonesia
Jadwal Test Itp Juni 2023 Pdf Jakarta Indonesia

Jadwal Test Itp Juni 2023 Pdf Jakarta Indonesia In children with newly diagnosed itp who have no or minor bleeding, the ash guideline panel recommends observation over both intravenous immunoglobulin and anti d immunoglobulin , and suggests observation over corticosteroids . Idiopathic thrombocytopenia (itp) has a long history. in 1025, avicenna described in the canon of medicine a patient with characteristics of itp, which became known as “idiopathic. Immune thrombocytopenia (itp) was reported as a rare complication of covid 19 vaccines. we conducted a retrospective single center analysis of all itp cases detected in 2021 and compared the quantity with the pre vaccination years, from 2018 to 2020. The mcmaster itp summit is an annual educational meeting on the clinical and translational aspects of itp. the inaugural meeting occurred vitrually in 2021, and the objectives were to highlight gaps in knowledge and inform priority areas for future research in diagnosis and disease mechanisms.

Itp Pdf
Itp Pdf

Itp Pdf Immune thrombocytopenia (itp) was reported as a rare complication of covid 19 vaccines. we conducted a retrospective single center analysis of all itp cases detected in 2021 and compared the quantity with the pre vaccination years, from 2018 to 2020. The mcmaster itp summit is an annual educational meeting on the clinical and translational aspects of itp. the inaugural meeting occurred vitrually in 2021, and the objectives were to highlight gaps in knowledge and inform priority areas for future research in diagnosis and disease mechanisms. Rektor mengungkapkan capaian program kerja pada tahun 2021 meningkat 11 persen dari tahun sebelumnya, bahkan melebihi dari target. rektor menyampaikan sepanjang tahun 2021, itp menerima 4 hibah dengan total nilai rp3.1 miliar. Dalam acara coffee morning yang digelar pada selasa (13 08), rektor itp, dr. ir. hendri nofrianto, m.t, ipm mengaku sangat bangga dan mengucapkan selamat atas berbagai prestasi yang telah diraih itp dalam ajang anugerah lldikti wilayah x 2024. Immune thrombocytopenia (itp) was reported as a rare complication of covid 19 vaccines. we conducted a retrospective single center analysis of all itp cases de tected in 2021 and compared the quantity with the pre vaccination years, from 2018 to 2020. Several new and effective itp therapies have been introduced during the past decade, and our understanding of the disease burden and its effect on quality of life has expanded.

Itp 2020 2021 Dates Bits And Pieces
Itp 2020 2021 Dates Bits And Pieces

Itp 2020 2021 Dates Bits And Pieces Rektor mengungkapkan capaian program kerja pada tahun 2021 meningkat 11 persen dari tahun sebelumnya, bahkan melebihi dari target. rektor menyampaikan sepanjang tahun 2021, itp menerima 4 hibah dengan total nilai rp3.1 miliar. Dalam acara coffee morning yang digelar pada selasa (13 08), rektor itp, dr. ir. hendri nofrianto, m.t, ipm mengaku sangat bangga dan mengucapkan selamat atas berbagai prestasi yang telah diraih itp dalam ajang anugerah lldikti wilayah x 2024. Immune thrombocytopenia (itp) was reported as a rare complication of covid 19 vaccines. we conducted a retrospective single center analysis of all itp cases de tected in 2021 and compared the quantity with the pre vaccination years, from 2018 to 2020. Several new and effective itp therapies have been introduced during the past decade, and our understanding of the disease burden and its effect on quality of life has expanded.

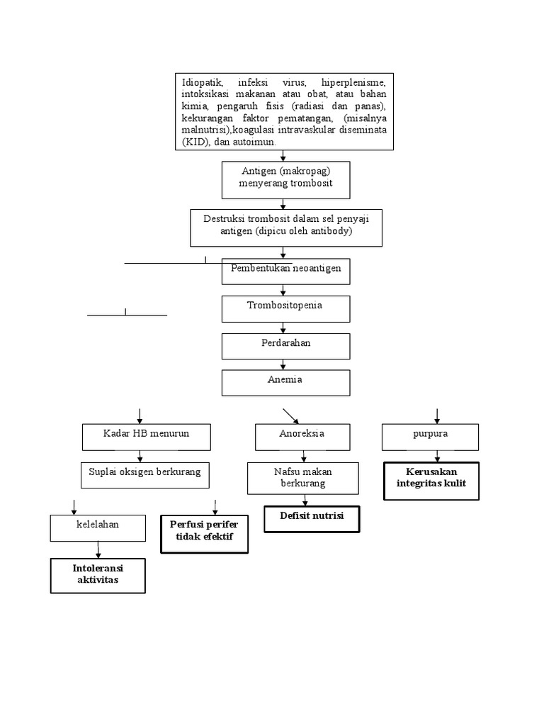
Pathway Itp Pdf
Pathway Itp Pdf

Pathway Itp Pdf Immune thrombocytopenia (itp) was reported as a rare complication of covid 19 vaccines. we conducted a retrospective single center analysis of all itp cases de tected in 2021 and compared the quantity with the pre vaccination years, from 2018 to 2020. Several new and effective itp therapies have been introduced during the past decade, and our understanding of the disease burden and its effect on quality of life has expanded.

Asuhan Keperawatan Pada Anak Dengan Itp Idiopatic Trombositopenic
Asuhan Keperawatan Pada Anak Dengan Itp Idiopatic Trombositopenic

Asuhan Keperawatan Pada Anak Dengan Itp Idiopatic Trombositopenic

Comments are closed.