Simplify your online presence. Elevate your brand.

Informe Final Pdf Equipoa

Informe Final Pdf Pdf Asociación De Futbol Perú
Informe Final Pdf Pdf Asociación De Futbol Perú

Informe Final Pdf Pdf Asociación De Futbol Perú Los conocimientos y conceptos en que nos hemos basado para realizar el proyecto, han estado dirigidas por el profesor, las dudas surgidas, se han podido resolver en las clases porque siempre se ha dejado un tiempo al final de estas para resolver los problemas planteados durante el proceso. 2.3. En el presente documento, se desarrollan los aspectos mayormente prescindibles en la elaboración de un reporte conclusivo, específicamente, de caso clínico en intervención y diagnostico psicológico, destacando los aspectos básicos a tomar en cuenta en una evaluación.

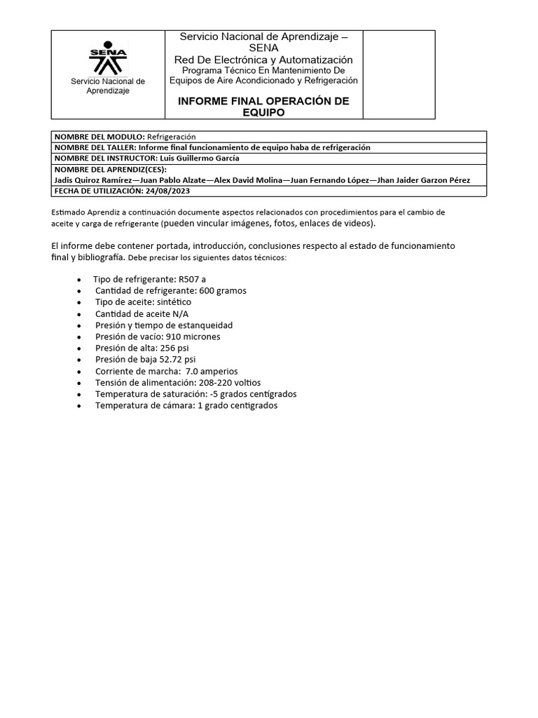
Anexo 2 Informe Final Funcionamiento De Equipo Pdf Aire
Anexo 2 Informe Final Funcionamiento De Equipo Pdf Aire

Anexo 2 Informe Final Funcionamiento De Equipo Pdf Aire Descarga gratis ejemplo y formatos de informe final que puedes editar en word, google docs y word en línea. luego es mucho más sencillo guardar el documento como pdf y presentarlo cuando lo necesites. Formato de informe final free download as word doc (.doc .docx), pdf file (.pdf), text file (.txt) or read online for free. Incluir en forma ordenada todos los resultados deportivos y las posiciones finales obtenidas en cada competencia oficial (torneos, campeonatos), así como indicar cuántos equipos, clubes o academias participaron en cada competencia deportiva. Aquí están las instrucciones sobre cómo firmar digitalmente el informe final de pt al. si te ha sido útil, deja tu comentario. gracias 😘. muchas gracias es un ejemplo para hacer un documento orientativo en al.

Informe Final Poa Pdf Calidad Comercial Business
Informe Final Poa Pdf Calidad Comercial Business

Informe Final Poa Pdf Calidad Comercial Business Un documento “informe técnico final”, en formato pdf. los anexos identificando el número y nombre, en formato que corresponda. la entrega de los documentos antes mencionados debe hacerse mediante correo electrónico dirigido la oficina de partes de fia ([email protected]). Este documento establece los requisitos para la presentación de informes de diseño de equipos y selección de materiales. Informe del equipo ejecutor sena este documento presenta el informe de finalización de competencia del programa técnico en manejo ambiental con código de ficha 2074066. Detalla los doce puntos que debería cubrir el informe, incluyendo el título, objetivos, plan de sesión, recursos utilizados, logros obtenidos, impacto social, lecciones aprendidas, recomendaciones y anexos con evidencia del trabajo.

Informe Final Total Quality Grupo2 Pdf
Informe Final Total Quality Grupo2 Pdf

Informe Final Total Quality Grupo2 Pdf Informe del equipo ejecutor sena este documento presenta el informe de finalización de competencia del programa técnico en manejo ambiental con código de ficha 2074066. Detalla los doce puntos que debería cubrir el informe, incluyendo el título, objetivos, plan de sesión, recursos utilizados, logros obtenidos, impacto social, lecciones aprendidas, recomendaciones y anexos con evidencia del trabajo.

Comments are closed.