Simplify your online presence. Elevate your brand.

Independent Uncertainty Analysis

Uncertainty Analysis In Engineering Measurements And Calculations Pdf
Uncertainty Analysis In Engineering Measurements And Calculations Pdf

Uncertainty Analysis In Engineering Measurements And Calculations Pdf Motivated by this issue, we propose a new uncertainty importance measure based on cumulative residual entropy. the proposed measure is moment independent based on cumulative distribution function, enabling it to handle highly skewed distributions and quantify uncertainty magnitude effectively. Several example ipython notebooks are provided to demonstrate typical workflows for fosm parameter and forecast uncertainty analysis as well as techniques to investigate parameter contributions to forecast uncertainty and observation data worth.

7 Uncertainty Analysis Part 2 Pdf Sensitivity Analysis
7 Uncertainty Analysis Part 2 Pdf Sensitivity Analysis

7 Uncertainty Analysis Part 2 Pdf Sensitivity Analysis Without an uncertainty estimate, it is impossible to answer the basic scientific question: “does my result agree with a theoretical prediction or results from other experiments?” this question is fundamental for deciding if a scientific hypothesis is confirmed or refuted. In this contribution, we provide a theoretical basis and present a practical software implementation that combines uncertainty analysis and moment independent global sensitivity analysis, which can be readily applied to full scale lca models. •monte carlo simulation is a general purpose, simple to implement method for uncertainty propagation, but: •it can be difficult to know which input parameters should be treated as random variables. In this paper, we introduce a plug and play scenario independent framework to enhance unsupervised ue in llms by removing scenario related noise and focusing on semantic information.

Uncertainty Analysis Groundwater Modelling Decision Support Initiative
Uncertainty Analysis Groundwater Modelling Decision Support Initiative

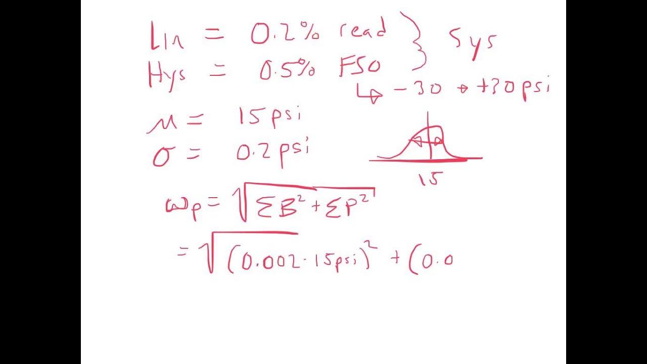
Uncertainty Analysis Groundwater Modelling Decision Support Initiative •monte carlo simulation is a general purpose, simple to implement method for uncertainty propagation, but: •it can be difficult to know which input parameters should be treated as random variables. In this paper, we introduce a plug and play scenario independent framework to enhance unsupervised ue in llms by removing scenario related noise and focusing on semantic information. Highlights quantifying uncertainty magnitude is important in practical uncertainty reduction. cre based measures are developed for handling highly skewed distributions. numerical implementations are devised to estimate the proposed measure. a case of uncertainty reduction considering uncertainty magnitude is introduced. In sect. 2 the definition of moment independent uncertainty importance measure \ (\delta {g i}\) for stochastic systems is provided and its properties are discussed; the numerical algorithm to determine \ (\delta {g i}\) based on gaussian process modeling is presented. Abstract this report surveys available analysis techniques to quantify the uncertainty in performance assessment (pa) arising from various sources. three sources of uncertainty – physical variability, data uncertainty, and model error – are considered. Design stage uncertainty analysis: initial analysis performed prior to measurement. this uncertainty is based on the resolution of the instrument to be used assuming that all other sources of error are zero.

Data Analysis Understanding Uncertainty Coanda Research Development
Data Analysis Understanding Uncertainty Coanda Research Development

Data Analysis Understanding Uncertainty Coanda Research Development Highlights quantifying uncertainty magnitude is important in practical uncertainty reduction. cre based measures are developed for handling highly skewed distributions. numerical implementations are devised to estimate the proposed measure. a case of uncertainty reduction considering uncertainty magnitude is introduced. In sect. 2 the definition of moment independent uncertainty importance measure \ (\delta {g i}\) for stochastic systems is provided and its properties are discussed; the numerical algorithm to determine \ (\delta {g i}\) based on gaussian process modeling is presented. Abstract this report surveys available analysis techniques to quantify the uncertainty in performance assessment (pa) arising from various sources. three sources of uncertainty – physical variability, data uncertainty, and model error – are considered. Design stage uncertainty analysis: initial analysis performed prior to measurement. this uncertainty is based on the resolution of the instrument to be used assuming that all other sources of error are zero.

Uncertainty Analysis Download Scientific Diagram
Uncertainty Analysis Download Scientific Diagram

Uncertainty Analysis Download Scientific Diagram Abstract this report surveys available analysis techniques to quantify the uncertainty in performance assessment (pa) arising from various sources. three sources of uncertainty – physical variability, data uncertainty, and model error – are considered. Design stage uncertainty analysis: initial analysis performed prior to measurement. this uncertainty is based on the resolution of the instrument to be used assuming that all other sources of error are zero.

Uncertainty Analysis Download Scientific Diagram
Uncertainty Analysis Download Scientific Diagram

Uncertainty Analysis Download Scientific Diagram

Comments are closed.