Simplify your online presence. Elevate your brand.

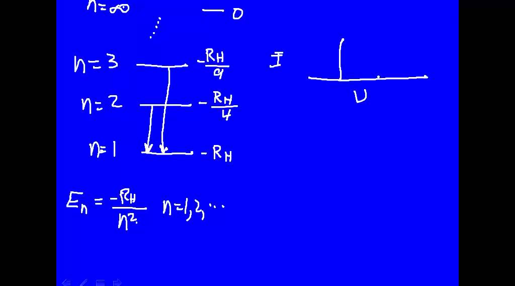
Hydrogen Atom Example 1

Diagram Of Hydrogen Atom Hydrogen Atom Physics Concepts 52 Off
Diagram Of Hydrogen Atom Hydrogen Atom Physics Concepts 52 Off

Diagram Of Hydrogen Atom Hydrogen Atom Physics Concepts 52 Off "atomic hydrogen" and "hydrogen atom" in ordinary english use have overlapping, yet distinct, meanings. for example, a water molecule contains two hydrogen atoms, but does not contain atomic hydrogen (which would refer to isolated hydrogen atoms). Hydrogen is the simplest and most abundant element in the universe, consisting of just one proton and one electron. this lightweight, colorless gas is found in great abundance in stars and gas giants and is a fundamental building block in the chemistry of life.

Hydrogen Atom Example 1 Numerade
Hydrogen Atom Example 1 Numerade

Hydrogen Atom Example 1 Numerade Hydrogen has three known isotopes. the mass numbers of hydrogen’s isotopes are 1, 2, and 3, the most abundant being the mass 1 isotope generally called hydrogen (symbol h, or 1 h) but also known as protium. The hydrogen atom is the simplest atom in nature and, therefore, a good starting point to study atoms and atomic structure. the hydrogen atom consists of a single negatively charged electron that moves about a positively charged proton (figure 4.2). A hydrogen atom can be described in terms of its wave function, probability density, total energy, and orbital angular momentum. the state of an electron in a hydrogen atom is specified by its quantum numbers (n, l, m). Figure 1.1: (a) spherical symmetry of the electronic potential inside the hydrogen atom. the potential energy is uniform on a radius r and on any other radius r′.

Hydrogen Atom Characters Prompts Stable Diffusion Online
Hydrogen Atom Characters Prompts Stable Diffusion Online

Hydrogen Atom Characters Prompts Stable Diffusion Online A hydrogen atom can be described in terms of its wave function, probability density, total energy, and orbital angular momentum. the state of an electron in a hydrogen atom is specified by its quantum numbers (n, l, m). Figure 1.1: (a) spherical symmetry of the electronic potential inside the hydrogen atom. the potential energy is uniform on a radius r and on any other radius r′. The hydrogen atom is the simplest and most abundant atom in the universe, consisting of only one proton and one electron. this simplicity makes it a fundamental building block in chemistry and physics, providing a basis for understanding more complex atoms and molecules. Hydrogen is the most abundant element in the universe. nearly nine out of every ten atoms in the universe are hydrogen atoms. hydrogen is also common on the earth. it is the third most abundant element after oxygen and silicon. about 15 percent of all the atoms found on the earth are hydrogen atoms. hydrogen is also the simplest of all elements. Protium (h 1): also known as common hydrogen, it is the most abundant and basic isotope of hydrogen. it consists of one proton in the nucleus and one electron in the orbit, making it an electrically neutral atom. The hydrogen atom is the simplest atom in nature and, therefore, a good starting point to study atoms and atomic structure. the hydrogen atom consists of a single negatively charged electron that moves about a positively charged proton (figure 8.2).

Hydrogen Atom Diagram Prompts Stable Diffusion Online
Hydrogen Atom Diagram Prompts Stable Diffusion Online

Hydrogen Atom Diagram Prompts Stable Diffusion Online The hydrogen atom is the simplest and most abundant atom in the universe, consisting of only one proton and one electron. this simplicity makes it a fundamental building block in chemistry and physics, providing a basis for understanding more complex atoms and molecules. Hydrogen is the most abundant element in the universe. nearly nine out of every ten atoms in the universe are hydrogen atoms. hydrogen is also common on the earth. it is the third most abundant element after oxygen and silicon. about 15 percent of all the atoms found on the earth are hydrogen atoms. hydrogen is also the simplest of all elements. Protium (h 1): also known as common hydrogen, it is the most abundant and basic isotope of hydrogen. it consists of one proton in the nucleus and one electron in the orbit, making it an electrically neutral atom. The hydrogen atom is the simplest atom in nature and, therefore, a good starting point to study atoms and atomic structure. the hydrogen atom consists of a single negatively charged electron that moves about a positively charged proton (figure 8.2).

Hydrogen Hydrogen Atom Representation Of An Atom Hydrogen Sample
Hydrogen Hydrogen Atom Representation Of An Atom Hydrogen Sample

Hydrogen Hydrogen Atom Representation Of An Atom Hydrogen Sample Protium (h 1): also known as common hydrogen, it is the most abundant and basic isotope of hydrogen. it consists of one proton in the nucleus and one electron in the orbit, making it an electrically neutral atom. The hydrogen atom is the simplest atom in nature and, therefore, a good starting point to study atoms and atomic structure. the hydrogen atom consists of a single negatively charged electron that moves about a positively charged proton (figure 8.2).

Comments are closed.